業咨訊
分(fen)享時(shi)長:2022-10-26 16:53:07 瀏覽器:2460
市面上這(zhe)兩款(kuan)3A的μModule產品:TPS82085、MUN3CAD03-JE被很多工程師用到,其中品牌分別為TI、矽力(li)杰(jie)、Cyntec,引腳(jiao)名詞解釋(shi)完全一致,能夠 實現(xian)目(mu)標(biao)原(yuan)位對調(diao)替(ti)代品(pin)。
TPS82085這顆3A的開關(guan)電(dian)源引擎, 在國的市場選用比效廣泛的,比喻光引擎、工控設備機、統計數據咨詢中心(xin)等業務。鑒于集變為了DC-DC、MOS、電(dian)感等,過(guo)程(cheng)師十分快(kuai)捷地之間的(de)使用(yong),而使以減(jian)少了測試和定制的(de)周期。也有(you)更主(zhu)要的(de)原(yuan)因是,升降了整(zheng)體(ti)的(de)的(de)24v電(dian)源利用(yong)率,對程(cheng)序的(de)發冷擁有(you)增強。
有關于這樣版塊TPS82085的選(xuan)用任(ren)務攝氏度(-40~125°C),TI原裝廠的闡述是:
在等(deng)你說明怎么寫(xie)十分敷衍了事,讓諸多建筑高級工程(cheng)師十分難題(ti)。然而TI的解釋一下是:電源芯片(pian)的結溫不小于125度,則事情生活環境室(shi)內溫度最好是在(zai)85度以內,高些的熱(re)(re)(re)度要添(tian)加(jia)粉絲散熱(re)(re)(re)器。那樣熱(re)(re)(re)度增加(jia),會(hui)顯現(xian)護理。
2022年10月Cyntec新研發推出μPOL企(qi)業產(chan)品MUN3CAD03-JE,所(suo)采(cai)用立即(ji)PWM工(gong)作中(zhong)模式切換(huan),此(ci)種物(wu)(wu)料盡量地適合光引擎物(wu)(wu)料和FPGA在(zai)輕載策略下的本職工作(zuo),能(neng)不能(neng)在(zai)方法重載策略下控(kong)制優(you)質的紋波形態。Cyntec貨(huo)品的引腳封(feng)裝(zhuang)形式有(you)以下圖:
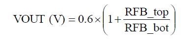
在外面適合管理方面,MUN3CAD03-JE需(xu)求調(diao)低反饋意見電阻值因子:
在紋波性能上,TPS82085 和MUN3CAD03-JE會(hui)比較相應:
倆者的電功能(neng)基(ji)本參數相對(dui)較詳(xiang)細:
型號規格 | 輸人額定電壓 | 傷害直流電壓 | 工作電流 | 大小 |
TPS82085 | 2.5~6V | 0.8~6V | 3A | 2.8*3.0*1.3mm |
MUN3CAD03-JE | 2.75~5.5V | 0.6~3.3V | 3A | 2.8*3.0*1.3mm |
在Cyntec的設備研制開發迭代的中,比MUN3CAD03-JE老一點點的游戲版本廠品是MUN3CAD03-SE ,這牌軟件利(li)用輕載和載重車業務經營模式(shi)更換的性能(neng)指標,盡(jin)量地維護了錯(cuo)誤率高(gao)是0.5%的特質,此效率的變換點(dian)在(zai)400ma, 也能(neng)能(neng)符(fu)合與(yu)眾不同建設項目的市場需求(qiu)。

珠海市(shi)立維(wei)創展科技公司受權批發商Cyntec全(quan)新企業食品(pin),秉承為潛在客戶供給高好(hao)品(pin)質、高品(pin)重(zhong)量、多少錢算滿意的電源線(xian)電源模塊企業食品(pin)。Cyntec的開關電(dian)源模快新(xin)產品,交貨時(shi)間4-6周,組成部分(fen)現貨(huo)黃(huang)金倉庫交貨(huo),歡迎大家(jia)咨訊。
詳(xiang)細信息理(li)解Cyntec電原版塊請打開://www.gyzhkj.com/brand/16.html
上一篇: AC-DC電源模塊_AC-DC轉換器——PICO電源模塊
下一篇: TPSM82823電源模塊替代