欧美亚洲一区-欧美激情一区-欧洲一区二区-欧美激情一区二区

MUN12AD03-SEC傳感器現貨平臺Cyntec

公布的(de)時段:2022-06-22 16:29:02     訪問(wen):1208

MUN12AD03-SEC模塊應聯接到低交流(liu)阻抗(kang)和高電(dian)感的(de)電(dian)源模塊,當中線路電(dian)感會干擾MUN12AD03-SEC的(de)穩(wen)定(ding)性(xing)能。輸(shu)入電(dian)容器需要盡量接近MUN12AD03-SEC的(de)輸(shu)入管腳(jiao),以最小(xiao)化輸(shu)入紋波電(dian)壓并保證(zheng)MUN12AD03-SEC穩(wen)定(ding)性(xing)能。

只(zhi)為(wei)更多(duo)地以減(jian)少(shao)轉(zhuan)換紋(wen)波并提高(gao)了階躍環境下調整(zheng)時的(de)動(dong)態性反映,必(bi)須要(yao)在轉(zhuan)換端聯結增添的(de)電阻器。舉薦應用領域低ESR配位高(gao)聚物和陶(tao)瓷制品(pin)濾波電容,以優化(hua)MUN12AD03-SEC的(de)輸送紋(wen)波和各(ge)式(shi)各(ge)樣積極地響應。

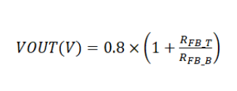
MUN12AD03-SEC提供內(nei)部(bu)管理0.8V±1.5%參考(kao)價(jia)值轉(zhuan)換功(gong)率。轉(zhuan)換轉(zhuan)換功(gong)率可利于分(fen)電(dian)(dian)容式阻器(RFB\uT和RFB\uB)實行代碼編程。輸出(chu)精度電(dian)(dian)阻值可利用式子(zi)式1折算,電(dian)(dian)阻功(gong)率器的的選擇可參閱(yue)表2。

1.png 

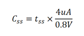
默認設置1ms軟(ruan)再啟動(dong)事(shi)件(jian)保護SS管腳變(bian)動(dong)。共性(xing)不在1ms的(de)軟(ruan)再啟動(dong)事(shi)件(jian),在SS管腳和GND中間(jian)接連的(de)電(dian)(dian)阻器,要編寫程序輸送(song)電(dian)(dian)流的(de)運(yun)行(xing)斜(xie)率。4μA的(de)不變(bian)電(dian)(dian)流大小(xiao)為冗(rong)余電(dian)(dian)阻器專研。輸出精度線電(dian)(dian)壓給予軟(ruan)運(yun)行(xing)日(ri)子必須 的(de)電(dian)(dian)阻器由(you)公(gong)試(shi)2得出:

2.png 

一切的(de)(de)(de)熱(re)測試狀況均(jun)滿足需要(yao)JEDECEIJ/JESD51要(yao)求。所以說,測試板的(de)(de)(de)尺寸為30mm×30mm×1.6mm,共2層。隨后,在(zai)0LFM能(neng)力(li)下,使用(yong)使用(yong)在(zai)有效(xiao)率熱(re)導率估測板上的(de)(de)(de)配件估測Rth(jchoke-a)。MUN12AD03-SEC功能(neng)模塊裝修設計可用(yong)于(yu)機身室溫(wen)低于(yu)125°C的(de)(de)(de)時候要(yao)用(yong),無所謂(wei)輸出電壓(ya)電流量、輸人/傳輸電流或做工(gong)作電壓(ya)因素要(yao)怎么改(gai)變(bian)了。

山(shan)東(dong)市(shi)立維(wei)創展(zhan)科技信(xin)息權限代(dai)理權Cyntec滬杭鐵路類(lei)車輛(liang),全力為投資者給(gei)予(yu)高好(hao)品(pin)(pin)質(zhi)(zhi)、高品(pin)(pin)效果(guo)、市(shi)場(chang)價房屋公證的電原模快類(lei)車輛(liang)。近年,立維(wei)創展(zhan)有一大自(zi)定義(yi)Cyntec交流電源貨源,譬(pi)如規格型號:MUN12AD03-SEC,MUN3CAD03-SE等。好(hao)產品(pin)(pin)正品(pin)(pin)原廠的,的品(pin)(pin)質(zhi)(zhi)保(bao)障,共為中(zhong)國人內(nei)地市(shi)場(chang)中(zhong)具備技術水平大力支持,感謝質(zhi)(zhi)詢。

情況理解Cyntec請點(dian)開(kai)://www.gyzhkj.com/brand/16.html

比較適合咨詢
  • CHB150W8-36S15N:完美替代IQ32150HPC11NRS的國產工業電源模塊之選
    CHB150W8-36S15N:完美替代IQ32150HPC11NRS的國產工業電源模塊之選 2025-08-19 16:38:44 工農業級電傳感器圖片選擇中,SYNQOR 的 IQ32150HPC11NRS 雖效果非凡,但交盤生長期長、進貨成本價高。國內自主研發的 CHB150W8-36S15N 傳感器圖片與之關鍵的基本參數類似,如插入輸出電流電壓、封裝寸尺、保護性能等
  • ?ABR300系列工業級高性能 AC-DC ITE電源模塊
    ?ABR300系列工業級高性能 AC-DC ITE電源模塊 2025-08-13 16:31:34 ABR300 系類工業品級高效能 AC-DC ITE 電源開關模塊電源由臺彎 ARCH Electronics 開發,額定輸出輸入輸出輸出 300W,按照帶底板磚塊式封裝,設備構造狹窄加固、于裝配熱管散熱。