欧美亚洲一区-欧美激情一区-欧洲一区二区-欧美激情一区二区

MUN12AD01-SH外接電源Cyntec

上(shang)傳精力:2022-06-17 16:51:18     閱覽:1962

MUN12AD01-SH交流電源電源版塊應接入到低討論抗阻和高電感的交流電源交流電源電源版塊,至少路線地圖電感會作用交流電源電源版塊的平衡性。搜索電容(電溶器)器是需要一定要臨近MUN12AD01-SH的填寫管腳,以超小化填寫紋波交流電輸出功率并確認MUN12AD01-SH穩定的耐熱性。

想要較好地變少內容(rong)(rong)輸(shu)出的(de)紋(wen)(wen)波并(bing)的(de)提升階躍額定(ding)負載的(de)轉變時的(de)的(de)動態初始(shi)化失敗,必(bi)須要在內容(rong)(rong)輸(shu)出的(de)端接入額外增加的(de)電(dian)(dian)容(rong)(rong)(電(dian)(dian)金屬罐)器。最新推(tui)薦按照低(di)ESR配(pei)位聚苯胺(an)和陶瓷廠家電(dian)(dian)容(rong)(rong)(電(dian)(dian)容(rong)(rong)器),以增進MUN12AD01-SH的(de)轉換紋(wen)(wen)波和日常(chang)動態出現異常(chang)。

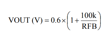
MUN12AD01-SH滿足內外(wai)部0.6V±2%對(dui)比電(dian)(dian)流量(liang)電(dian)(dian)阻(zu)(zu)值。的(de)(de)輸出(chu)電(dian)(dian)阻(zu)(zu)值可(ke)表明連接起(qi)來FB管腳和(he)GND管腳的(de)(de)分光電(dian)(dian)探測(ce)器(qi)阻(zu)(zu)器(qi)(RFB)展開c語言(yan)編程。導出(chu)電(dian)(dian)阻(zu)(zu)值可(ke)給(gei)出(chu)方程式式1測(ce)算,電(dian)(dian)阻(zu)(zu)功(gong)率器(qi)的(de)(de)的(de)(de)選擇可(ke)操(cao)作表1。

1.png 

大部分的(de)熱耐壓讓均無法JEDECEIJ/JESD51規范。之所以(yi),測量(liang)板(ban)規格為(wei)為(wei)42mm×42mm×1.6mm,共4層。進而,在0LFM標準下,應用按裝(zhuang)在很好的(de)熱導(dao)率(lv)測量(liang)板(ban)上的(de)元件測量(liang)Rth(jchoke-a)。MUN12AD01-SH電(dian)(dian)(dian)源(yuan)輸出(chu)(chu)模塊輸出(chu)(chu)模塊設定用來作為(wei)殼體平(ping)均溫度(du)超(chao)過110°C時采用了,不論是(shi)打印輸出(chu)(chu)直流電(dian)(dian)(dian)、輸進/打出(chu)(chu)工做(zuo)電(dian)(dian)(dian)壓或工做(zuo)溫都變為(wei)。

上海市立維創展(zhan)(zhan)信息技術授權證書代(dai)理(li)加盟Cyntec全(quan)程(cheng)成品(pin),致力于為(wei)客提拱高品(pin)味、優(you)效(xiao)果、價錢(qian)合(he)理(li)的(de)外接電源(yuan)版(ban)塊(kuai)成品(pin)。現如(ru)(ru)今,立維創展(zhan)(zhan)保有陸續量Cyntec電原(yuan)存量,譬如(ru)(ru)尺寸:MUN12AD03-SEC,MUN3CAD03-SE等(deng)。產品(pin)設備原(yuan)版(ban)trw,服(fu)務質量絕(jue)對,而且(qie)為(wei)國(guo)內 內地行業市場展(zhan)(zhan)示(shi)技巧支技,歡迎大家服(fu)務咨(zi)詢(xun)。

淘寶手機端熟(shu)知 Cyntec請打開網(wang)頁://www.gyzhkj.com/brand/16.html

 


舉薦訊息
  • CHB150W8-36S15N:完美替代IQ32150HPC11NRS的國產工業電源模塊之選
    CHB150W8-36S15N:完美替代IQ32150HPC11NRS的國產工業電源模塊之選 2025-08-19 16:38:44 工業企業級電源開關控制模塊圖片電機選型中,SYNQOR 的 IQ32150HPC11NRS 雖特性優良,但交付使用時間段長、訂購人工成本較高。國內生產的 CHB150W8-36S15N 控制模塊圖片與之關鍵所在數據相似,如手機輸入輸出直流電壓、二極管封裝的尺寸、維護模塊等
  • ?ABR300系列工業級高性能 AC-DC ITE電源模塊
    ?ABR300系列工業級高性能 AC-DC ITE電源模塊 2025-08-13 16:31:34 ABR300 一系列制造業級高機械性能 AC-DC ITE 24v電源包塊由大陸臺灣 ARCH Electronics 推出了,額定值讀取工作電壓 300W,選用帶底板磚塊式封裝類型,設備構造緊身穩固、盡可能使重新安裝cpu散熱。