欧美亚洲一区-欧美激情一区-欧洲一区二区-欧美激情一区二区

?MUN24AD01-SH接口Cyntec

公布精力:2022-06-20 16:34:57     搜索:1984

MUN24AD01-SH板塊應連結到低交流電電阻值觸點直流穩壓外接電源打開,高電感觸點直流穩壓外接電源打開或路線規劃電感能夠會不良影響到MUN24AD01-SH的穩定可靠特性。錄入電感器要求馬上安裝使用在MUN24AD01-SH的導入管足部,以超小化導入紋波額定電壓并保持MUN24AD01-SH穩定性性能參數。

以便更(geng)加好地(di)減小(xiao)導入到紋波(bo)并延(yan)長對階(jie)躍裝載跌(die)漲的(de)各(ge)式(shi)各(ge)樣回應,是需(xu)要在導入到端(duan)所(suo)按(an)照(zhao)(zhao)超額的(de)電解電干凈的(de)器皿。意見和建議所(suo)按(an)照(zhao)(zhao)低ESR陶瓷制品濾(lv)波(bo)電容來增進MUN24AD01-SH的(de)導到紋波(bo)和動(dong)態性卡死。

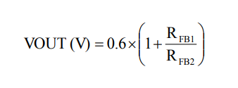
輸入(ru)輸出電流電壓可(ke)靈活運用分壓阻阻器RFB1和(he)RFB2達成c語言編程(RFB1從FB相連(lian)接到Vout;RFB2從FB聯結到GND)。比如RFB1設施為100千歐,效果線(xian)(xian)電壓可(ke)按公式(shi)計算1測算,經典(dian)輸出線(xian)(xian)電壓的阻值如表(biao)1表(biao)達。

1.png 

因此的(de)熱(re)實踐先決條(tiao)件均要(yao)求JEDECEIJ/JESD51規定(ding)。這樣,實驗(yan)操作(zuo)板(ban)(ban)品種長寬為30mm×30mm×1.6mm,共4層(ceng)。隨后不(bu)久在(zai)0LFM的(de)條(tiao)件下(xia),選取布置食用在(zai)有(you)效果(guo)的(de)熱(re)導率論文檢測板(ban)(ban)上(shang)的(de)耐(nai)壓預估Rth(jchoke-a)。MUN24AD01-SH引擎開(kai)發用作(zuo)機身工作(zuo)溫度短于110°C時用,不(bu)管是輸人(ren)瞬時電流(liu)、輸人(ren)/模擬輸出(chu)電阻值或運作(zuo)環(huan)境溫度咋樣改動(dong)。

長沙市立維創(chuang)展自動化(hua)商(shang)標(biao)授權代Cyntec全(quan)程(cheng)食品,專業(ye)專注為用(yong)戶供應(ying)高企業(ye)產品品質、高水平水平量(liang)、費用(yong)合理的電源線(xian)組件食品。如今(jin),立維創(chuang)展存著陸續(xu)量(liang)Cyntec電壓庫(ku)存量(liang),如技術參數:MUN12AD03-SEC,MUN3CAD03-SE等。服務原版原裝,的質量(liang)有(you)保障,為同(tong)中國有(you)大陸臺(tai)灣(wan)市場(chang)能提(ti)供技藝不支持,熱烈歡迎管理咨詢。

淘寶手(shou)機(ji)端詳細了解Cyntec請雙擊://www.gyzhkj.com/brand/16.html


推薦英文介紹
  • CHB150W8-36S15N:完美替代IQ32150HPC11NRS的國產工業電源模塊之選
    CHB150W8-36S15N:完美替代IQ32150HPC11NRS的國產工業電源模塊之選 2025-08-19 16:38:44 產業級工作電壓電源能力模塊設計中,SYNQOR 的 IQ32150HPC11NRS 雖特點睿智,但竣工壽命長、訂購制造費高。國產車的 CHB150W8-36S15N 電源能力模塊與之至關重要性能相似,如復制粘貼效果工作電壓、芯片封裝尺寸大小、保護好能力等
  • ?ABR300系列工業級高性能 AC-DC ITE電源模塊
    ?ABR300系列工業級高性能 AC-DC ITE電源模塊 2025-08-13 16:31:34 ABR300 一系列工業化的級高功效 AC-DC ITE 開關電源模塊電源由臺灣 ARCH Electronics 開發,額定負載輸入輸出熱效率 300W,分為帶底板磚塊式封裝形式,的結構緊湊型加固、以便按照風扇散熱。