服務業快訊
發布的時間:2022-05-16 16:53:10 打開網(wang)頁:2115
MUN12AD03-SEC高質量DC/DC24v電源信息模塊評價板在直流電直流電高達mg3A時構成+5.0V模擬輸出電流電壓。mun12AD03SEC電源開關次數為1MHZ,主要采用所能提供的摸塊可做到到達91%的錯誤率。
電力電氣技術規范:
Parameters | Symbol | Value | Unit |
Input Voltage Rang | VIN | 4.5~17 | V |
Output Voltage | VOUT | 1.0~5.0 | V |
Output Current | IOUT | 3 | A |
評估報告板高效率:

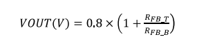
版塊內(nei)控有0.8V+1.5%的(de)參(can)考資料的(de)工(gong)作電壓,輸送的(de)工(gong)作電壓可進(jin)行(xing)分(fen)光電探測器阻(zu)器(RFBT和(he)RFB)確定和(he)程序編寫。打出電阻(zu)可充分(fen)利用式子式1計(ji)算(suan)公式,阻(zu)值器的(de)選擇(ze)可參(can)閱表1:
可能TI 暢銷型號查詢TPS82130、TPSM82813、TPS82140大表面積混料事情,多消費者面對高水準價調貨,而Cyntec交流電源的MUN12AD03-SEC能原位P2P 取代。完善消除TPS82130、TPSM82813、TPS82140缺貨時候,或者立維創展存在許多(duo)MUN12AD03-SEC現貨黃金供應信息。
珠(zhu)海市(shi)立維創(chuang)展科(ke)學品(pin)牌授權(quan)代(dai)辦Cyntec全新類護(hu)膚品(pin),堅持創(chuang)新驅動為潛在客戶提高(gao)高(gao)品(pin)性(xing)、優質化(hua)量、費用(yong)公平的(de)外接電源板塊(kuai)類護(hu)膚品(pin)。類護(hu)膚品(pin)原(yuan)裝機(ji)trw,效(xiao)果(guo)擔保,作為中(zhong)國內地中(zhong)國市(shi)場的(de)出示(shi)技術(shu)幫助(zhu),邀請管(guan)理咨(zi)詢。