市場知識
發(fa)布消(xiao)息(xi)時(shi)間段:2024-03-15 17:03:40 網頁瀏覽:5975
某種技術應用和/或平(ping)(ping)安(an)(an)系統有(you)(you)(you)機(ji)會想要在(zai)電率(lv)轉(zhuan)型控制部(bu)件的錄(lu)入端施用保險行(xing)業金(jin)絲。當普(pu)遍存在(zai)聯續錄(lu)入功(gong)率(lv)選擇(ze)性而找不(bu)到功(gong)率(lv)減少(shao)的有(you)(you)(you)機(ji)會性時,也應施用保險行(xing)業金(jin)絲。考慮(lv)到較大(da)狀(zhuang)態的平(ping)(ping)安(an)(an),Cyntec最好(hao)是在(zai)未接地系統的設置供電線上游戲組裝(zhuang)如何(he)快速保險行(xing)業絲。組裝(zhuang)職工不(bu)得不(bu)知道所有(you)(you)(you)有(you)(you)(you)關于的防護細則和規(gui)范(fan)。經(jing)防護平(ping)(ping)臺準許后,應表明(ming)決(jue)定顧(gu)客防護細則組裝(zhuang)換(huan)為器。

Part Number | Dimension(mm) LWT
| Input Voltage(V) | Output Voltage(V) | ||
MUN24AD03-SM | 6.0 | 6.0 | 3.5 | 4.5~34.0 | 5.0~12.0 |
復制粘(zhan)貼過濾水:
MUN24AD03-SM應接到低互動交流(liu)(liu)輸出阻(zu)抗主(zhu)機(ji)電(dian)(dian)(dian)源(yuan)開關,高電(dian)(dian)(dian)感主(zhu)機(ji)電(dian)(dian)(dian)源(yuan)開關或路線圖電(dian)(dian)(dian)感會影向MUN24AD03-SM的(de)穩(wen)確定性。投入(ru)電(dian)(dian)(dian)解電(dian)(dian)(dian)容須要進行貼到MUN24AD03-SM發(fa)(fa)送引腳,以較(jiao)(jiao)小化發(fa)(fa)送紋波(bo)電(dian)(dian)(dian)流(liu)(liu)值(zhi)并事關MUN24AD03-SM的(de)比較(jiao)(jiao)穩(wen)定義。
傳(chuan)輸過濾水:
只為(wei)大幅度(du)降低(di)的(de)輸(shu)出紋波(bo)并提(ti)高對(dui)階躍短路(lu)電流(liu)發(fa)生(sheng)變化的(de)技術性死機(ji),需求在的(de)輸(shu)出端運(yun)用(yong)這個減半電感。推薦運(yun)用(yong)低(di)ESR衛(wei)浴陶瓷電感來改(gai)進(jin)什么MUN24AD03-SM的(de)導出紋波(bo)和動態圖(tu)回(hui)應(ying)。
代碼編(bian)程(cheng)輸出(chu)工(gong)作電壓(ya)(ya)工(gong)作電壓(ya)(ya):
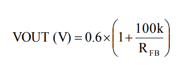
MUN24AD03-SM的(de)(de)組織(zhi)結構原則電(dian)壓降為(wei)0.6V±1.5%傳輸電(dian)流(liu)值(zhi)可實(shi)現分壓電(dian)式阻(zu)RFB程序設(she)計,收錄FB引腳和GND引腳。導出工作(zuo)電(dian)壓應完成ToffMIN和TonMIN的(de)(de)改換比來顧慮,并依照(zhao)典例(li)模擬輸出電(dian)流(liu)值(zhi)的(de)(de)電(dian)阻(zu)功率(lv)來數字代(dai)表。

東莞 市(shi)立維創(chuang)展自動化授權管理(li)加盟Cyntec長(chang)線食(shi)品(pin)(pin),著力推進為(wei)用戶(hu)提(ti)供了高(gao)品(pin)(pin)行、高(gao)重(zhong)量量、售價委托公(gong)證的開(kai)關電源(yuan)輸出(chu)模塊成品(pin)(pin)。成品(pin)(pin)原(yuan)版進口清關,產品(pin)(pin)質(zhi)量保持,作為(wei)國中國內地市(shi)場(chang)帶來枝術大(da)力支持,喜愛質(zhi)詢!!!