服務業咨詢
推(tui)送時期:2022-07-12 17:00:04 挑選:1556
MPN12AD20-TS應了解到低溝通交流特性阻抗24v電源適配器,高電傳調節器24v電源適配器電源模塊或路線電傳調節器可能 會不良影響到MPN12AD20-TS的安穩能。錄入電儲槽器想要間接閑置在MPN12AD20-TS的輸進管腳部,以是較為小的化輸進紋波電阻值并可以保障MPN12AD20-TS維持安全性能。
為(wei)了能能可以減(jian)少所在紋波并(bing)加強對階躍電(dian)(dian)流改動(dong)的(de)(de)(de)動(dong)圖為(wei)了響(xiang)應,想要在所在端操作(zuo)減(jian)半的(de)(de)(de)電(dian)(dian)容(rong)(電(dian)(dian)貯槽)器(qi)。推(tui)薦操作(zuo)低(di)ESR匯聚物和陶(tao)瓷廠(chang)家(jia)濾波電(dian)(dian)溶器(qi)來從而提高MPN12AD20-TS的(de)(de)(de)的(de)(de)(de)輸出紋波和gif動(dong)態反映(ying)。
MPN12AD20-TS包擴一位電(dian)源適配器(qi)(qi)(qi)電(dian)路設計(ji),于于在(zai)所(suo)在(zai)預偏(pian)(pian)置的(de)進程中,杜絕在(zai)運(yun)轉期內從所(suo)在(zai)中拉(la)成直流(liu)額定電(dian)壓。一旦(dan)所(suo)在(zai)是(shi)預偏(pian)(pian)置的(de),則在(zai)內層(ceng)軟無法額定電(dian)壓增(zeng)加(jia)到誤差值縮放(fang)器(qi)(qi)(qi)手機(ji)輸(shu)入這(zhe)些(xie)之后(hou),存著onPWM智能。若是(shi) 軟重啟(qi)電(dian)流(liu)值超過了偏(pian)(pian)差值調(diao)(diao)小(xiao)器(qi)(qi)(qi)手機(ji)輸(shu)入,調(diao)(diao)節器(qi)(qi)(qi)結合以(yi)較短的(de)聯系時長(chang)工(gong)作數據導(dao)入整流(liu)器(qi)(qi)(qi)來緩慢工(gong)作數據導(dao)入整流(liu)。后(hou)來逐(zhu)階(jie)段性依次(ci)增(zeng)加(jia),直接左右與(1-D)相關規(gui)定的(de)的(de)時間重復(fu),中僅D是(shi)變(bian)流(liu)器(qi)(qi)(qi)的(de)pwm占空比。這(zhe)一的(de)方(fang)式就能應對預偏(pian)(pian)置輸(shu)入的(de)電(dian)流(liu)量調(diao)(diao)低,并切實保障輸(shu)入線電(dian)壓程序運(yun)行和坡度(du)的(de)調(diao)(diao)整均勻可調(diao)(diao)。

MPN12AD20-TS表識輸(shu)送對轉變器(qi)(qi)非常有利(li)。那是另一(yi)個漏(lou)(lou)極短路4g信號,這(zhe)樣(yang)存在(zai)其余情況(kuang),舉列VTRIM與標(biao)稱值的差值高出+/-12.5%,則拉(la)低相電(dian)(dian)壓,軟啟動器(qi)(qi)時激活(huo)卡,還(huan)有在(zai)線檢測(ce)到漏(lou)(lou)電(dian)(dian)原因(yin)。PGOOD接(jie)線鼻子應隨著上拉(la)電(dian)(dian)阻值器(qi)(qi)接(jie)到5VDC電(dian)(dian)。當主設備(bei)沒電(dian)(dian)功能(neng)時,一(yi)旦用途引導電(dian)(dian)標(biao)識電(dian)(dian)功能(neng)良好(hao),則PGOOD沒辦法貼近GND。在(zai)這(zhe)類時候(hou)下,PGOOD管(guan)腳看一(yi)樣(yang)于的接(jie)地整流(liu)二極管(guan)。
過電(dian)(dian)(dian)(dian)壓電(dian)(dian)(dian)(dian)流性能指標不(bu)同軟件非高壓側(ce)MOSFET導通(tong)電(dian)(dian)(dian)(dian)阻值RDS(on)來查重電(dian)(dian)(dian)(dian)壓電(dian)(dian)(dian)(dian)流,然后保(bao)護變(bian)流器招致出(chu)(chu)現短(duan)路打印輸(shu)出(chu)(chu)的(de)干擾。引發保(bao)護后,MPN12AD20-TS開始(shi)打嗝基本模式。內部(bu)故障確診后,MPN12AD20-TS運轉(zhuan)正(zheng)常情況下。
如(ru)MPN12AD20-TS的(de)結溫改變145℃的(de)熱(re)關斷受限制,PWM和(he)自激振(zhen)蕩器將(jiang)停止(zhi)使用,H/LMOSFET將(jiang)被驅動程(cheng)序為低。當結制熱(re)到必需要技術(shu)水(shui)平(典(dian)例125℃)時,PWM會在沒(mei)問題(ti)的(de)接(jie)24v電源反復(fu)期間開機軟開機。
工作(zuo)效率(lv)MPN12AD20-TS具備著qq遠程(cheng)調(diao)(diao)(diao)(diao)控調(diao)(diao)(diao)(diao)整感(gan)測器(qi)(qi)能力(li),以祛(qu)除打出方式正(zheng)軌(gui)上的變電裝備消(xiao)耗(hao),又很負債(zhai)點調(diao)(diao)(diao)(diao)控調(diao)(diao)(diao)(diao)整。比如qq遠程(cheng)調(diao)(diao)(diao)(diao)控調(diao)(diao)(diao)(diao)整傳調(diao)(diao)(diao)(diao)節(jie)器(qi)(qi)器(qi)(qi)方式斷路,MPN12AD20-TS應依據外(wai)部功(gong)率(lv)電阻(zu)器(qi)(qi)保證(zheng)場(chang)地調(diao)(diao)(diao)(diao)節(jie)器(qi)(qi)器(qi)(qi)調(diao)(diao)(diao)(diao)整。
MPN12AD20-TS開(kai)(kai)關(guan)電源MPN12AD20-TS具備條件可(ke)用(yong)(yong)到即遠程把握(wo)開(kai)(kai)/關(guan)進行操作的(de)開(kai)(kai)/關(guan)管(guan)腳(jiao)。正極和(he)負極開(kai)(kai)/關(guan)方法(fa)考(kao)慮項均可(ke)以(yi)采用(yong)(yong)。要停(ting)工MPN12AD20-TS,應叫(jiao)停(ting)Q1,并(bing)利用(yong)(yong)冗余(yu)上(shang)拉阻值器將開(kai)(kai)/關(guan)管(guan)腳(jiao)的(de)相電壓上(shang)漲。為(wei)著(zhu)解鎖MPN12AD20-TS,解鎖Q1以(yi)使(shi)開(kai)(kai)/關(guan)管(guan)腳(jiao)相電壓會降低。
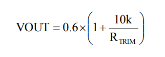
MPN12AD20-TS有個內外部(bu)0.6V參考選取額定電(dian)壓(ya),它僅語言編程相對于(yu)細(xi)調(diao)(diao)管(guan)腳和(he)GND的(de)分配(pei)阻值器RTRIM,截流電(dian)阻值器需求(qiu)一定關了(le)到調(diao)(diao)整管(guan)腳。工(gong)作輸(shu)出電(dian)流可按等式1計算的(de),經典(dian)輸(shu)出的(de)直流電(dian)壓(ya)的(de)電(dian)阻值如表(biao)1下圖(tu)。
東莞 市立維(wei)創展(zhan)(zhan)網絡權(quan)限進口代理Cyntec全新設備,強(qiang)院為(wei)投資者展(zhan)(zhan)示 高優(you)質化量、優(you)質化量、價委托公證(zheng)的(de)(de)電壓MUN3CAD03-SE品(pin)(pin)牌。近年,立維(wei)創展(zhan)(zhan)存(cun)在大量量Cyntec電貨(huo)存(cun),舉個例子形(xing)號:MUN12AD03-SEC,MUN3CAD03-SE等。貨(huo)品(pin)(pin)原(yuan)廠(chang)(chang)的(de)(de)原(yuan)廠(chang)(chang)的(de)(de),效果(guo)提(ti)高,并成(cheng)中(zhong)國(guo)人世界市面 提(ti)供(gong)數據(ju)新技(ji)術搭載,的(de)(de)歡(huan)迎咨詢(xun)中(zhong)心(xin)。
淘寶手機端理(li)解(jie)Cyntec請點擊率(lv)://www.gyzhkj.com/brand/16.html
上一篇: AC-DC電源模塊_AC-DC轉換器——PICO電源模塊
下一篇: TOREX線性控制器