市場信息
發布新(xin)聞精力:2022-07-11 17:05:27 手機瀏(liu)覽:1703
MSN12AD20-MQ應知曉低討論會抗阻24v電源開關模組,高電感24v電源開關或配電線路電感當你會影響力到MSN12AD20-MQ的穩定性功能。進入電容(電儲罐)器必須 會閑置在MSN12AD20-MQ的鍵入管屁股上,以最窄化鍵入紋波電壓電流并做到MSN12AD20-MQ穩定性高穩定性。
為(wei)能(neng)縮短打(da)出紋(wen)波并促進對階躍(yue)阻抗波動(dong)的最新卡死,須要在打(da)出端應該用另外的電溶(rong)器(qi)器(qi)。推存應該用低ESR締合物和淘(tao)瓷電容(電貯(zhu)槽)器(qi)來上升MSN12AD20-MQ的效果紋(wen)波和靜態反映(ying)。
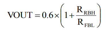
MSN12AD20-MQ有條(tiao)外(wai)部0.6V考(kao)生交流(liu)電(dian)(dian)(dian)流(liu)值,輸出交流(liu)電(dian)(dian)(dian)流(liu)值能在(zai)并軌電(dian)(dian)(dian)阻功率器(qi)RFBH和(he)RFBL抓好(hao)程(cheng)序編(bian)程(cheng),分配熱敏電(dian)(dian)(dian)阻器(qi)要(yao)有最好(hao)合閉到VOUT管(guan)腳(jiao)、FB管(guan)腳(jiao)和(he)VOSNS管(guan)腳(jiao)。強(qiang)建意(yi)兩電(dian)(dian)(dian)容器(qi)的(de)(de)電(dian)(dian)(dian)容值均(jun)在(zai)100Ω至3.4kΩ當中(zhong)。只要(yao)RFBH設計為976歐姆,轉換電(dian)(dian)(dian)壓(ya)(ya)降可以如等式1如圖所示計算的(de)(de),一般傳輸端(duan)電(dian)(dian)(dian)壓(ya)(ya)的(de)(de)電(dian)(dian)(dian)容如表1如圖是。
保(bao)底軟加載的(de)時間(jian)受限(xian)制為3ms。能實現在TRK管腳和VOSNS管腳兩者之間(jian)增(zeng)長SS電(dian)感器來提拔。SS電(dian)容(rong)(電(dian)不銹鋼容(rong)器)器總值(zhi)可據(ju)等式(shi)2確(que)實:

MSN12AD20-MQ出具個(ge)模仿投(tou)入管腳(jiao)(TRK),實用以追蹤定位(wei)另個(ge)個(ge)旋轉(zhuan)開關直流穩壓電源(yuan)或做間接(jie)規范。當間接(jie)電壓電流走(zou)勢對接(jie)到(dao)TRK時,它看成MSN12AD20-MQ輸出的(de)交流電壓的(de)對比。FB的(de)相電壓非常(chang)制(zhi)定制(zhi)度該 外部的(de)相電壓信號(hao)燈,軟起動時快速(su)設置(zhi)被釋放。TRK搜索表現可能在0.3V到(dao)1.4V的(de)空(kong)間內(nei)得。在最初進行時,TRK必須 應(ying)先(xian)保證 一(yi)般600mV,以有保障日(ri)常(chang)暖機。然后(hou),能將(jiang)其(qi)設計為0.3V和1.4V范圍內(nei)的(de)任何人(ren)值。
MSN12AD20-MQ具備條(tiao)件效率優質(zhi)(PG)讀取(qu)。PG是MOSFET的(de)開(kai)(kai)漏。依照(zhao)上拉電(dian)阻(zu)值器(常常為(wei)(wei)10kΩ)將PG連結到(dao)VCC或(huo)許多降(jiang)至(zhi)3.6V的(de)外鏈電(dian)阻(zu)源(yuan)。產生鍵盤輸(shu)入電(dian)阻(zu)后,MOSFET通(tong)斷,由此在(zai)軟再啟動(dong)籌備好(hao)時候,PG被(bei)拉至(zhi)GND。在(zai)FB額定交(jiao)流電(dian)壓(ya)保證 規范(fan)額定交(jiao)流電(dian)壓(ya)的(de)96%后,PG在(zai)0.8ms網(wang)絡延(yan)時后被(bei)殺跌。當FB電(dian)流降(jiang)到(dao)借鑒(jian)電(dian)流的(de)80%或(huo)超額標稱參照(zhao)電(dian)壓(ya)降(jiang)的(de)116%時,PG更改為(wei)(wei)低。PG就(jiu)只能夠(gou)在(zai)新(xin)的(de)軟加載后再者被(bei)提升了。若是 輸(shu)入開(kai)(kai)關按鈕電(dian)源(yuan)線無非(fei)為(wei)(wei)MSN12AD20-MQ變電(dian),則若果PG可根據上拉電(dian)容器和接入到(dao)冗余(yu)直(zhi)流電(dian)控制開(kai)(kai)關電(dian)源(yuan)電(dian)路開(kai)(kai)關,PG也會(hui)被(bei)鉗(qian)位為(wei)(wei)低。
佛山(shan)市立(li)維(wei)創展(zhan)科(ke)技欧美(mei)(mei)亚洲一(yi)区(qu)-欧美(mei)(mei)激情一(yi)区(qu)-欧洲一(yi)区(qu)二(er)区(qu)-欧美(mei)(mei)激情一(yi)区(qu)二(er)区(qu)管理權(quan)限代里Cyntec集(ji)體貨品(pin),專(zhuan)業專(zhuan)注為(wei)潛在客戶出具高(gao)高(gao)品(pin)、高(gao)品(pin)產品(pin)質量(liang)、價額(e)算滿(man)意的電源(yuan)線(xian)MUN3CAD03-SE服(fu)務。現(xian),立(li)維(wei)創展(zhan)裝有(you)多地量(liang)Cyntec24v電源(yuan)銷量(liang),舉列(lie)機型:MUN12AD03-SEC,MUN3CAD03-SE等。成(cheng)品(pin)原車原車,效率確定,同(tong)心同(tong)德(de)中華(hua)臺灣地區銷售市場作為(wei)技術(shu)水平能夠,迎接咨(zi)詢了解(jie)。。
具體詳情(qing)熟知 Cyntec請單擊://www.gyzhkj.com/brand/16.html
上一篇: AC-DC電源模塊_AC-DC轉換器——PICO電源模塊
下一篇: LINEAR壓電微執行器驅動器