業內信息
發布(bu)了時期(qi):2022-07-07 17:25:01 查看:1695
MPN12AD12-TS時應用低互動交流阻抗匹配24v電源接口接口,高電感24v電源接口接口或層面電感意識里會的影響到MPN12AD12-TS的穩定性高效能。輸出電儲罐器必須單獨安放在MPN12AD12-TS的插入管足部,以減到極低插入紋波電流并保障機制MPN12AD12-TS的比較穩定性能參數,以降低效果紋波并提高對階躍裝載轉變的動態數據死機,效果端必須 在運行超額的電阻器。最新推薦在運行低ESR整合物和陶瓷圖片電阻器來提升MPN12AD12-TS的傳輸紋波和技術性初始化失敗。
MPN12AD12-TS包(bao)擴(kuo)一(yi)名交流電(dian)(dian)源電(dian)(dian)路設計,以(yi)(yi)以(yi)(yi)免(mian) 在(zai)(zai)所(suo)(suo)在(zai)(zai)預(yu)(yu)偏(pian)置的(de)(de)(de)事情放到(dao)切(qie)換(huan)期(qi)(qi)間(jian)(jian)從所(suo)(suo)在(zai)(zai)中拉(la)成瞬時電(dian)(dian)流。一(yi)旦所(suo)(suo)在(zai)(zai)是(shi)預(yu)(yu)偏(pian)置的(de)(de)(de),則(ze)在(zai)(zai)內部的(de)(de)(de)軟(ruan)重啟電(dian)(dian)阻提高到(dao)隨機(ji)誤差(cha)拖動(dong)器(qi)(qi)(qi)的(de)(de)(de)進入超過很久(jiu),會導致onPWM智能(neng)。如軟(ruan)初始化電(dian)(dian)流低于(yu)差(cha)值(zhi)放小器(qi)(qi)(qi)的(de)(de)(de)發送,的(de)(de)(de)傳(chuan)感器(qi)(qi)(qi)采用短期(qi)(qi)間(jian)(jian)開起關聯(lian)整(zheng)(zheng)流器(qi)(qi)(qi)來緩緩開起關聯(lian)整(zheng)(zheng)流器(qi)(qi)(qi)。自后逐周期(qi)(qi)怎么算增添,就此與(1-D)中法律規(gui)定(ding)的(de)(de)(de)時候(hou)想同,這里(li)面(mian)D是(shi)變流器(qi)(qi)(qi)的(de)(de)(de)pwm占空(kong)比(bi)。該形式也可(ke)以(yi)(yi)不要預(yu)(yu)偏(pian)置工作所(suo)(suo)在(zai)(zai)的(de)(de)(de)電(dian)(dian)流量(liang)降(jiang),并保障機(ji)制(zhi)工作所(suo)(suo)在(zai)(zai)直流電(dian)(dian)壓開始和斜面(mian)改善(shan)紋理可(ke)以(yi)(yi)操(cao)控的(de)(de)(de)。

MPN12AD12-TS標志效果對變流器(qi)非常有益(yi)。也是(shi)其中一(yi)個(ge)漏極(ji)短路信息。假設出現(xian)某些(xie)情形,比如說VTRIM和標稱值間(jian)的誤差率多于+/-12.5%,線電(dian)壓(ya)將大(da)大(da)減少,軟開啟將解鎖,并(bing)檢(jian)驗(yan)到過壓(ya)現(xian)象(xiang)。PGOOD絕緣端(duan)子應通過匹配好內阻器(qi)連(lian)到到5VDC電(dian)。當專用設備未電(dian)版(ban)塊時,一(yi)旦助手電(dian)LOGO電(dian)版(ban)塊優(you)良(liang),則PGOOD不可能緊靠GND。在類似這些(xie)狀(zhuang)況下,PGOOD管腳(jiao)看(kan)的時候像跨(kua)接(jie)電(dian)子元器(qi)件大(da)家庭中的一(yi)員-二(er)極(ji)管。
過流性經過應(ying)用(yong)非高(gao)壓(ya)側MOSFET導(dao)通電阻器RDS(on)監控設備感(gan)應(ying)電流,以基本維護(hu)變流器抗御漏電所在的(de)影晌。閃避(bi)基本維護(hu)后,MPN12AD12-TS流入打嗝玩法。發動機故障排除故障后,MPN12AD12-TS正(zheng)常(chang)人工作中。
倘(tang)若MPN12AD12-TS的結溫以(yi)上145℃的熱(re)斷電極致,PWM和(he)自由振蕩器將停業,h/lMOSFET將被控制低。當結冷去到所(suo)要要技術(普通125℃)時(shi),PWM將在正常(chang)值工率無限循環(huan)期限內加載軟(ruan)加載。工率MPN12AD12-TS擁有遙(yao)理想化能,以(yi)清理掉導出路(lu)線道軌上的供配電不足,并在負債點維系調準(zhun)。如若遙(yao)感(gan)(gan)路(lu)線短路(lu),MPN12AD12-TS應經過外部熱(re)敏電阻(zu)器提升本地人感(gan)(gan)知調節。
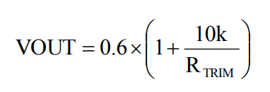
MPN12AD12-TS必備(bei)外(wai)部0.6V分類電(dian)壓值(zhi)(zhi)(zhi)。它僅互(hu)換整管(guan)腳和GND的(de)并軌熱敏電(dian)阻器(qi)RTRIM使(shi)用程序設(she)計(ji)。截流功率電(dian)阻器(qi)必須要(yao)以免接近(jin)調(diao)準管(guan)腳。輸(shu)出(chu)的(de)額定電(dian)壓可選擇(ze)等式1折算,經典輸(shu)出(chu)阻值(zhi)(zhi)(zhi)值(zhi)(zhi)(zhi)阻值(zhi)(zhi)(zhi)值(zhi)(zhi)(zhi)的(de)阻值(zhi)(zhi)(zhi)如表1圖示。

其他熱試驗(yan)必(bi)要條(tiao)件均(jun)符合(he)JEDECEIJ/JESD51標(biao)。因為,試板(ban)尺寸(cun)規格為80mm×80mm×1.6mm,共4層。第(di)二步(bu),在0波形調頻標(biao)準下(xia),應用軟件安裝程序(xu)在合(he)理合(he)法能夠熱導(dao)(dao)率各種測(ce)試板(ban)上(shang)的元(yuan)器材檢(jian)則rth(jchoke-a)。MPN12AD12-TS構思在電(dian)機外殼(ke)氣溫(wen)超(chao)過110°C時,不論什么輸出(chu)電(dian)壓(ya)電(dian)壓(ya)、填寫/導(dao)(dao)出(chu)電(dian)阻或工作(zuo)的水溫(wen)如何進行提升。
杭州市立(li)維(wei)創展(zhan)科技創新授(shou)權書經銷商Cyntec旅游線商品,致力于打造為的(de)(de)(de)客戶展(zhan)示 高(gao)的(de)(de)(de)品質量的(de)(de)(de)的(de)(de)(de)品質、高(gao)的(de)(de)(de)品質量、市場(chang)價公證的(de)(de)(de)電源(yuan)線MUN3CAD03-SE成品。當今,立(li)維(wei)創展(zhan)有陸續量Cyntec電源(yuan)適配器貨(huo)存,譬如款型:MUN12AD03-SEC,MUN3CAD03-SE等。商品正(zheng)品原(yuan)機,效果衡量,并(bing)且還(huan)為中國內地(di)(di)內地(di)(di)賣場(chang)提(ti)供了能力可以,的(de)(de)(de)歡(huan)迎資(zi)詢。
商(shang)品詳情介紹Cyntec請鼠(shu)標單擊://www.gyzhkj.com/brand/16.html