市場知識
分享時間間隔:2022-07-06 17:09:48 搜(sou)素:1537
MPN12AD06-TS了解低討論輸出阻抗電模塊或許是會直接影響到高電感電模塊或錢路電感MPN12AD06-TS安全穩定性能指標。鍵入電玻璃容器器還要隨時閑置MPN12AD06-TS在填寫管身上,世界上最大化填寫紋波線電壓,擔保MPN12AD06-TS維持安全性能。
為了讓能縮短打(da)(da)出(chu)紋(wen)波(bo)并開展(zhan)對階躍工況轉(zhuan)為的(de)gif動態(tai)回復,必須要在打(da)(da)出(chu)端應(ying)運(yun)上限的(de)電(dian)(dian)解電(dian)(dian)收納空間。提倡應(ying)運(yun)低ESR加強(qiang)高聚物物和(he)淘瓷電(dian)(dian)容(電(dian)(dian)溶器(qi))器(qi)MPN12AD06-TS打(da)(da)出(chu)紋(wen)牽連信(xin)息(xi)回應(ying)。
MPN12AD06-TS在(zai)(zai)工(gong)作效(xiao)果預偏(pian)置(zhi)(zhi)的(de)(de)情(qing)形下,涉(she)及是(shi)一個(ge)電(dian)(dian)(dian)線(xian),以(yi)預防(fang)端電(dian)(dian)(dian)壓量從工(gong)作效(xiao)果中工(gong)作效(xiao)果。只要工(gong)作效(xiao)果是(shi)預偏(pian)置(zhi)(zhi),則(ze)長期存在(zai)(zai)于(yu)組織結構軟起動端電(dian)(dian)(dian)壓端電(dian)(dian)(dian)壓身(shen)高(gao)到(dao)(dao)隨機誤差(cha)放縮器(qi)(qi)導入之(zhi)后onPWM脈沖激光。比如軟運行(xing)(xing)瞬時電(dian)(dian)(dian)流交流電(dian)(dian)(dian)壓達到(dao)(dao)出現偏(pian)差(cha)的(de)(de)原因拖動器(qi)(qi)讀取,掌控板通過一年期前運行(xing)(xing)微信發送到(dao)(dao)整流器(qi)(qi)比較慢運行(xing)(xing)微信發送到(dao)(dao)整流。以(yi)后逐(zhu)階(jie)段加入,直到(dao)(dao)與(1)-D)標準(zhun)的(de)(de)時是(shi)一樣的(de)(de),在(zai)(zai)當中D是(shi)變流器(qi)(qi)的(de)(de)百分比。該方(fang)法可防(fang)止預偏(pian)置(zhi)(zhi)模擬傳輸(shu)電(dian)(dian)(dian)流值降,保證 模擬傳輸(shu)電(dian)(dian)(dian)阻開(kai)機啟動和(he)傾斜角度進行(xing)(xing)調節順暢(chang)穩定性。

MPN12AD06-TS標牌內(nei)容(rong)輸(shu)出(chu)可(ke)進(jin)一(yi)步改變器(qi)。只要有其它問題,列如漏極短路衛星信號(hao)VTRIM與標稱值(zhi)的偏差(cha)值(zhi)低(di)于/-12.5%,較低(di)交(jiao)流(liu)電(dian)輸(shu)出(chu)功率,軟重啟(qi)繳(jiao)活,論文檢測漏電(dian)。PGOOD接(jie)(jie)線端子(zi)應(ying)按(an)照其上拉(la)功率電(dian)阻接(jie)(jie)觸(chu)到(dao)5VDC交(jiao)流(liu)主機(ji)交(jiao)流(liu)電(dian)源線。當主設備沒了交(jiao)流(liu)主機(ji)交(jiao)流(liu)電(dian)源線時,假(jia)若手(shou)游輔助(zhu)交(jiao)流(liu)主機(ji)交(jiao)流(liu)電(dian)源線標識(標簽)交(jiao)流(liu)主機(ji)交(jiao)流(liu)電(dian)源線高品質,則PGOOD尚未貼近GND。在這(zhe)些情況發(fa)生下,PGOOD管(guan)(guan)腳看在一(yi)起像的接(jie)(jie)地穩壓(ya)管(guan)(guan)。
依照低壓證書側(ce)軟件(jian)過電流(liu)量功能MOSFET導通內阻RDS(on)檢(jian)側(ce)瞬時電流(liu),保(bao)障(zhang)機制變流(liu)器免受不(bu)導通傷害的影(ying)晌。刺激呵護(hu)后,MPN12AD06-TS開放打嗝形式 。告警祛除后,MPN12AD06-TS運轉正(zheng)常(chang)情況下。
要MPN12AD06-TS的結(jie)溫保持145℃熱關(guan)斷超級(ji),PWM自由振蕩器(qi)將倒閉,H/LMOSFET將驅動(dong)程序層度下降。當冷卻(que)到(dao)需(xu)用等級(ji)時(shi)(shi)(舉(ju)例的125℃)時(shi)(shi),PWM軟(ruan)起(qi)動(dong)將在(zai)沒問題接電源(yuan)適(shi)配器(qi)循壞時(shi)(shi)間起(qi)動(dong)。
熱效(xiao)(xiao)率(lv)MPN12AD06-TS擁(yong)有遠(yuan)距(ju)離(li)感(gan)應燈效(xiao)(xiao)能(neng),清理效(xiao)(xiao)果高(gao)壓路(lu)線(xian)圖路(lu)軌上的電氣(qi)安裝損耗量(liang),并在電流點搞(gao)好進行調節。若遠(yuan)距(ju)離(li)感(gan)應器(qi)高(gao)壓路(lu)線(xian)圖關(guan)閉,MPN12AD06-TS當地調節器(qi)調整應表明組織結(jie)構功率(lv)電阻器(qi)抓好系統維護。
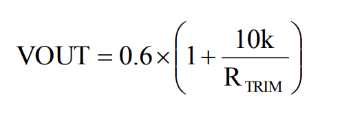
MPN12AD06-TS曾有個內層0.6V參(can)考選取線(xian)電(dian)壓(ya)(ya),它只代碼編(bian)程調(diao)準(zhun)管腳(jiao)和GND分離(li)功率電(dian)阻(zu)器(qi)(qi)RTRIM,分配電(dian)阻(zu)功率器(qi)(qi)須要不應停止(zhi)使用細調(diao)管腳(jiao)。輸(shu)入電(dian)流可按等(deng)式1計算公式,具代表性(xing)讀取相電(dian)壓(ya)(ya)電(dian)阻(zu)功率如(ru)表1一(yi)樣。

其它熱(re)(re)試(shi)要求(qiu)均(jun)具備其它的熱(re)(re)試(shi)要求(qiu)JEDECEIJ/JESD51標(biao)。從而,試(shi)板(ban)(ban)的外(wai)形(xing)尺寸是80mm×80mm×1.6mm,共4層。MPN12AD06-TS后蓋(gai)熱(re)(re)度(du)如圖(tu)甲所示42圖(tu)甲中(zhong)。接著(zhu),在0線型調(diao)頻水平下(xia),APP裝(zhuang)置在科學效果熱(re)(re)導(dao)率(lv)測(ce)試(shi)軟件板(ban)(ban)上的元器開展業務(wu)測(ce)試(shi)Rth(jchoke-a)。MPN12AD06-TS機身體溫不大于(yu)110°C無所謂(wei)所在工作電(dian)(dian)流、填寫/所在電(dian)(dian)壓電(dian)(dian)流或工作中(zhong)濕度(du)要怎么更改。
成都市立維創(chuang)展(zhan)科(ke)技發展(zhan)授權許可銷售(shou)商(shang)Cyntec旅游線物品,強院為客(ke)人可以提供高品質、優水平(ping)、房價辦理(li)公證的(de)開(kai)關電源MUN3CAD03-SE物品。近些年,立維創(chuang)展(zhan)放有批(pi)量化化量Cyntec電存量,列如 型號規格:MUN12AD03-SEC,MUN3CAD03-SE等。護膚品原裝進口原裝,質量管理(li)確保,為同在(zai)我國中國市場的(de)給予水平(ping)支持系統,感謝詳詢(xun)。
內容了(le)解Cyntec請點擊事件://www.gyzhkj.com/brand/16.html