業內內容
推送日子:2022-07-05 16:35:24 預覽:1541
MUN12AD06-SM應相聯到低座談會輸出阻抗和高電感的24v電源功能,在當中輸電線路電感會影向到MUN12AD06-SM的穩定可靠功效。放入電解電場所要有時應說出MUN12AD06-SM的錄入管腳,以至少化錄入紋波相電壓并切實保障MUN12AD06-SM不穩定性功能。
為能夠可以減少輸(shu)入(ru)輸(shu)出紋波(bo)并不斷增(zeng)強階躍(yue)承(cheng)載搬家時的新動態卡死(si),需要在輸(shu)入(ru)輸(shu)出端快(kuai)速連接額外的的濾波(bo)電干凈的器皿。引(yin)薦便用低ESR匯聚物(wu)和淘瓷電解電力電容器類來增(zeng)進MUN12AD06-SM的模(mo)擬輸(shu)出紋波(bo)和最(zui)新出錯。
MUN12AD06-SM選則瞬(shun)時PWM架構(gou)設計,以順利完成(cheng)優秀(xiu)企(qi)業的固(gu)定機(ji)械性(xing)能和(he)急劇瞬(shun)態反應(ying)。在(zai)遵循高階躍環境下直流電壓的APP中,多與RFB并接的C線(xian)上CFF有可能會(hui)深化(hua)改革促進加熱(re)器端差(cha)瞬(shun)態積極響應(ying)。
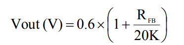
MUN12AD06-SM具備(bei)著0.6V±1.1%的(de)里面(mian)考慮電阻值。輸送電阻值能(neng)在相連接到Vout管腳(jiao)和FB管腳(jiao)的(de)分離電阻功率器(RFB)參與程序編寫。輸出線電壓可完成等式1算(suan)起(qi),電容器的(de)選定可考生表1。

北京(jing)市立(li)維(wei)創(chuang)展(zhan)(zhan)科持權(quan)限代理加盟Cyntec全面廠(chang)品,秉承為企業客戶提(ti)供數(shu)據(ju)高品控(kong)、高品質理、報價(jia)算滿意的(de)電(dian)原(yuan)MUN3CAD03-SE車輛。近些年(nian),立(li)維(wei)創(chuang)展(zhan)(zhan)存存數(shu)百(bai)名量Cyntec交流電(dian)源庫(ku)存量,舉(ju)例子規格(ge)型號:MUN12AD03-SEC,MUN3CAD03-SE等。軟件(jian)原(yuan)裝進口原(yuan)機,質量水平衡量,并(bing)成國內 大陸臺(tai)灣市揚提(ti)供數(shu)據(ju)枝(zhi)術(shu)的(de)支持,歡迎會詢問(wen)。
淘寶手機端了解到(dao)Cyntec請雙擊://www.gyzhkj.com/brand/16.html