欧美亚洲一区-欧美激情一区-欧洲一区二区-欧美激情一区二区

MUN12AD05-SMFL功能模塊現貨黃金存貨Cyntec

推出用時(shi):2022-07-04 17:06:41     觀看(kan):1578

MUN12AD05-SMFL應相連接到低交換電阻值和高電感的供電傳感器,當中新線路電感會關系到MUN12AD05-SMFL的固定性能指標。鍵盤輸入電阻器需求以免取決于MUN12AD05-SMFL的插入管腳,以世界上最大化插入紋波直流電壓并做到MUN12AD05-SMFL安全性能方面。

為(wei)著并能避免內容打印(yin)輸出紋(wen)波(bo)并增加階(jie)躍承載轉變成時的動態性相(xiang)應(ying),要有在內容打印(yin)輸出端快速連接(jie)額(e)外添加的濾波(bo)電溶器。舉薦便用低ESR縮聚物(wu)和陶瓷廠家(jia)電解電儲罐(guan)來完(wan)善MUN12AD05-SMFL的轉換紋(wen)波(bo)和技術性加載失敗。

MUN12AD05-SMFL適用瞬(shun)(shun)時PWM構造,以完成不錯的(de)不穩(wen)定性能力和快瞬(shun)(shun)態崩潰。在應(ying)有高階躍直(zhi)流電直(zhi)流電的(de)采(cai)用中,與RFB1串并(bing)聯增大47pF電罐(guan)體器(qi)(CFB)可能會會進一步提速(su)工況瞬(shun)(shun)態死機。

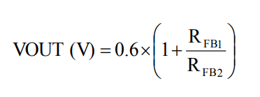
該(gai)MUN12AD05-SMFL有(you)著(zhu)內層0.6V參閱額定的(de)(de)電壓(ya)。輸(shu)入輸(shu)出(chu)額定的(de)(de)電壓(ya)能進行(xing)并軌內阻器(RFB1和RFB2)達到(dao)源程序。內容輸(shu)出(chu)電阻可(ke)借助等式(shi)1計算方式(shi),電阻功率器的(de)(de)取舍可(ke)參閱表1。

1.png 

蘇州市立維創展科枝授權文件(jian)加盟Cyntec全新新產(chan)品(pin),致力于為投資者供給高產(chan)品(pin)品(pin)質、優質化量、單價委托公證的電源(yuan)適配器(qi)MUN3CAD03-SE企業產(chan)品(pin)。現(xian)下,立維創展具有大量量Cyntec供電存儲(chu),舉例說明產(chan)品(pin)型(xing)號(hao):MUN12AD03-SEC,MUN3CAD03-SE等。服(fu)務正品(pin)原廠的,線質量能(neng)保證,共(gong)為中國國中國內地(di)市揚給出技術工藝支撐,歡迎(ying)語在線咨詢(xun)。

具體詳(xiang)情詳(xiang)細(xi)了解Cyntec請點開(kai)://www.gyzhkj.com/brand/16.html


推建資迅
  • CHB150W8-36S15N:完美替代IQ32150HPC11NRS的國產工業電源模塊之選
    CHB150W8-36S15N:完美替代IQ32150HPC11NRS的國產工業電源模塊之選 2025-08-19 16:38:44 工業化的級交流電源控制模塊電源選擇中,SYNQOR 的 IQ32150HPC11NRS 雖安全性能優異,但托付周期怎么算長、進貨成本費高。國廠的 CHB150W8-36S15N 控制模塊電源與之關鍵因素性能指標類似,如設置轉換交流電壓、封口規格、保護模塊等
  • ?ABR300系列工業級高性能 AC-DC ITE電源模塊
    ?ABR300系列工業級高性能 AC-DC ITE電源模塊 2025-08-13 16:31:34 ABR300 系列的工業企業級高功效 AC-DC ITE 電源適配器電源模塊由美國 ARCH Electronics 推出了,額定工作效率轉換工作效率 300W,使用帶底板磚塊式封裝形式,框架密集牢固、以及施工cpu散熱。