的行業新聞新聞
發布新聞時期:2022-07-01 16:57:23 查詢:1216
MUN12AD05-SMFH應聯接到低交流阻抗和高電感的電源模塊,當中線路電感會影響到MUN12AD05-SMFH的穩定性能。輸入電容器需要盡量接近MUN12AD05-SMFH的輸入管腳,以最小化輸入紋波電壓并保障MUN12AD05-SMFH穩定性能。
要想(xiang)能(neng)有(you)效降低輸出(chu)(chu)紋(wen)波(bo)并增強階躍短(duan)路(lu)電流(liu)浮動時的最新出(chu)(chu)錯,須得在輸出(chu)(chu)端聯結另外的電解電儲槽。推介常用低ESR合成樹脂物和淘瓷(ci)電感器來從而提高MUN12AD05-SMFH的打(da)出(chu)(chu)紋(wen)波(bo)和動態(tai)數據(ju)加載。
MUN12AD05-SMFH選(xuan)擇使用瞬(shun)(shun)時(shi)PWM搭建(jian),以控制好的(de)(de)的(de)(de)穩(wen)固特性和及(ji)時(shi)瞬(shun)(shun)態回應(ying)(ying)(ying)。在應(ying)(ying)(ying)具高階躍負(fu)債直流(liu)電的(de)(de)技能應(ying)(ying)(ying)運中,與RFB1電容串聯延(yan)長47pF濾(lv)波電溶器(CFB)也會推進改革加快和提升功率因(yin)數補償瞬(shun)(shun)態回應(ying)(ying)(ying)。
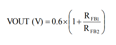
MUN12AD05-SMFH具備(bei)條件(jian)里面的(de)0.6V借(jie)(jie)鑒阻值(zhi)(zhi)。內容輸(shu)(shu)出阻值(zhi)(zhi)能依據分(fen)科阻值(zhi)(zhi)器(qi)(RFB1和RFB2)去程序(xu)編寫。傳(chuan)輸(shu)(shu)輸(shu)(shu)出功率可借(jie)(jie)助等(deng)式1計算出,電阻器(qi)器(qi)的(de)選定可分(fen)類表1。

西安(an)市(shi)立(li)維(wei)創(chuang)展創(chuang)新科技(ji)(ji)軟件(jian)授權地區代理Cyntec長(chang)線護(hu)膚品(pin),專(zhuan)(zhuan)業專(zhuan)(zhuan)注為買家帶來高口感、優質(zhi)化量、收費(fei)公開的(de)電MUN3CAD03-SE軟件(jian)。日前,立(li)維(wei)創(chuang)展有一大(da)(da)自定義Cyntec開關電源貨(huo)源,如型號(hao)查(cha)詢:MUN12AD03-SEC,MUN3CAD03-SE等。產(chan)品(pin)設(she)備原(yuan)版原(yuan)裝(zhuang)廠,水平 保障,而且要為中(zhong)國有大(da)(da)陸臺灣貿易市(shi)場給出的(de)技(ji)(ji)術大(da)(da)力(li)支持,喜歡(huan)管理咨(zi)詢。
情況知曉Cyntec請點擊(ji)://www.gyzhkj.com/brand/16.html