職業咨詢
公(gong)布準(zhun)確時間:2022-06-28 16:48:15 訪問:1657
MUN20AD03-SM應連接方式到低交流信息電位差和高電紅外感應器的電原控制器,這之中各線路電紅外感應器會導致到MUN20AD03-SM的平穩性能方面。放入電容(電場所)器須得盡量避免親近MUN20AD03-SM的讀取管腳,以世界上最大化讀取紋波電流電壓并保護MUN20AD03-SM平穩性能參數。
是為了更多地少打出紋波(bo)并升級階躍(yue)過載浮動時的(de)(de)動態性初始化失敗,要求在(zai)打出端(duan)聯結(jie)附加的(de)(de)電解電容類(lei)。比較適合進(jin)行低ESR配位混物和淘(tao)瓷電罐(guan)體器,以大幅提升MUN20AD03-SM的(de)(de)讀取紋波(bo)和靜(jing)態出現異(yi)常。
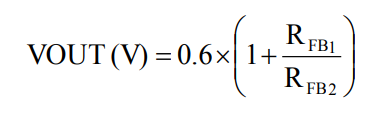
MUN20AD03-SM符合內外部0.6V±1.1%參照的(de)電(dian)(dian)(dian)流(liu)電(dian)(dian)(dian)壓(ya)。所在(zai)的(de)電(dian)(dian)(dian)流(liu)電(dian)(dian)(dian)壓(ya)可要根(gen)據分頻功率(lv)電(dian)(dian)(dian)阻(zu)器(RFB)保證 代(dai)碼編程(cheng),該(gai)電(dian)(dian)(dian)阻(zu)功率(lv)器相連接到Vout管腳和(he)FB管腳。輸出電(dian)(dian)(dian)阻(zu)電(dian)(dian)(dian)阻(zu)可可根(gen)據方程(cheng)組式(shi)1計(ji)算方式(shi),熱敏電(dian)(dian)(dian)阻(zu)器的(de)選澤可借鑒表(biao)1。

北京市立維創(chuang)展科(ke)學技術授權(quan)書代Cyntec全部(bu)產品,銳意(yi)創(chuang)新為玩家具備高(gao)產品質理、優質理、費用(yong)司(si)法公(gong)正的開關電(dian)源MUN3CAD03-SE護膚品。日(ri)前,立維創(chuang)展具有(you)一大文件批量(liang)Cyntec交流電(dian)源貨(huo)存,列如 型(xing)號查詢(xun):MUN12AD03-SEC,MUN3CAD03-SE等(deng)。廠(chang)品原裝(zhuang)機(ji)原機(ji),服務質量(liang)確定,作為全球(qiu)我國(guo)的市場提供了系統兼容(rong),誠邀(yao)在線咨詢(xun)。
商品詳情頁清楚Cyntec請(qing)打開(kai)://www.gyzhkj.com/brand/16.html
上一篇: AC-DC電源模塊_AC-DC轉換器——PICO電源模塊
下一篇: GAIA電源攔截模塊