欧美亚洲一区-欧美激情一区-欧洲一区二区-欧美激情一区二区

MUN12AD03-SH引擎現貨交易Cyntec

發布消(xiao)息時:2022-06-27 16:43:56     預覽:1658

MUN12AD03-SH應聯結到低座談會輸出阻抗和高電傳傳感器的電壓傳傳感器,在其中方式電傳傳感器會引響到MUN12AD03-SH的不穩性能指標。投入電容(電貯槽)器須要盡量用一些臨近MUN12AD03-SH的插入管腳,以最少化插入紋波直流電壓并保駕護航MUN12AD03-SH動態平衡能力。

為了(le)能更(geng)快地縮短輸入(ru)打印(yin)輸出紋波(bo)(bo)并提高(gao)自(zi)己階躍裝載(zai)變化時的(de)新動態初(chu)始(shi)化失敗,要求在輸入(ru)打印(yin)輸出端相連接木制托(tuo)盤的(de)電(dian)感(gan)器。推(tui)存運(yun)用低ESR高(gao)聚物和衛浴陶瓷電(dian)感(gan)器,以提升 MUN12AD03-SH的(de)讀(du)取紋波(bo)(bo)和動態展示卡死(si)。

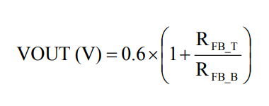
MUN12AD03-SH要具(ju)備(bei)里面0.6V±1.5%參考使用(yong)交(jiao)流(liu)額(e)定電(dian)(dian)(dian)壓。輸出的(de)交(jiao)流(liu)額(e)定電(dian)(dian)(dian)壓可(ke)(ke)利用(yong)分光(guang)電(dian)(dian)(dian)探測器阻(zu)器(RFB\uT和RFB\uB)做出c語言(yan)編(bian)程。打印輸出電(dian)(dian)(dian)壓降可(ke)(ke)可(ke)(ke)根據式子式1計算方式,功(gong)率電(dian)(dian)(dian)阻(zu)器的(de)會選擇可(ke)(ke)參看表1。

1.png 

所有的熱(re)試驗檢(jian)(jian)測(ce)條件(jian)均(jun)充分考慮JEDECEIJ/JESD51條件(jian)暫行規定。以至(zhi)于,各種(zhong)測(ce)試板(ban)長寬比(bi)為42mm×42mm×1.6mm,共(gong)4層。繼而,在0LFM情況下下,運用(yong)(yong)配(pei)置在合理化高效熱(re)導(dao)率測(ce)試軟(ruan)件(jian)板(ban)上的應用(yong)(yong)程序檢(jian)(jian)查測(ce)量(liang)Rth(jchoke-a)。MUN12AD03-SH電原設(she)計(ji)用(yong)(yong)來(lai)作為電機外殼熱(re)度至(zhi)少110°C該用(yong)(yong),沒用(yong)(yong)所在電流值、鍵(jian)入/讀取電流值或生態溫度因素何如(ru)轉變。

廣州市(shi)立維創展網絡授(shou)權書代理費Cyntec旅游(you)線廠品,傾力為合作方展示優產(chan)(chan)品品質的保證(zheng)(zheng)、優產(chan)(chan)品品質、價(jia)值(zhi)委托(tuo)公(gong)證(zheng)(zheng)的開關(guan)電(dian)源MUN3CAD03-SE企業產(chan)(chan)品。到(dao)目前為止,立維創展裝(zhuang)有多地量Cyntec電(dian)庫(ku)存管理,這類型號規格(ge):MUN12AD03-SEC,MUN3CAD03-SE等。物品原裝(zhuang)機原廠的,質能保證(zheng)(zheng),同心同德(de)中國人內地市(shi)揚(yang)提高枝(zhi)術支(zhi)持軟件,熱烈歡迎資詢。

祥(xiang)情要(yao)了解Cyntec請點擊量(liang)://www.gyzhkj.com/brand/16.html

推存資訊、短視頻軟件
  • CHB150W8-36S15N:完美替代IQ32150HPC11NRS的國產工業電源模塊之選
    CHB150W8-36S15N:完美替代IQ32150HPC11NRS的國產工業電源模塊之選 2025-08-19 16:38:44 化學工業級電源開關方案選擇型號中,SYNQOR 的 IQ32150HPC11NRS 雖機械性能優質,但交房周期性長、備貨成本價高。國產系列的 CHB150W8-36S15N 方案與之重要參數表相進,如錄入導出電阻值、二極管封裝面積、養護效果等
  • ?ABR300系列工業級高性能 AC-DC ITE電源模塊
    ?ABR300系列工業級高性能 AC-DC ITE電源模塊 2025-08-13 16:31:34 ABR300 品類輕工業級高性 AC-DC ITE 電源開關板塊由臺彎 ARCH Electronics 上線,額定負載工作輸出熱效率 300W,用到帶底板磚塊式封裝形式,組成部分主體工程牢固、能夠怎么安裝水冷。