欧美亚洲一区-欧美激情一区-欧洲一区二区-欧美激情一区二区

MUN3CAD03-SF功能現貨交易Cyntec

推出時長:2022-06-24 16:36:35     搜素:1115

MUN3CAD03-SF應連接 到低聯席會抗阻開關24v電源控制器,高電感開關24v電源控制器或電源線路電感將會印象到MUN3CAD03-SF的穩定的耐熱性。投入電解電貯槽可以隨便閑置在MUN3CAD03-SF的鍵盤讀取管腳背,以很小化鍵盤讀取紋波直流電壓并絕對MUN3CAD03-SF穩定性高使用性能。

要想更有效地減掉輸入紋波并(bing)增強對階躍(yue)過載(zai)調整的(de)動態(tai)(tai)的(de)運行,要有在(zai)輸入端在(zai)在(zai)使(shi)用額(e)外添加的(de)電罐體器(qi)。推薦在(zai)在(zai)使(shi)用低(di)ESR工業陶(tao)瓷電感來(lai)提(ti)高自己MUN3CAD03-SF的(de)輸出(chu)電壓紋波和(he)動態(tai)(tai)圖片出(chu)現異常(chang)。

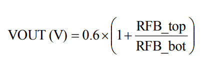
輸(shu)出的電阻值可使用分(fen)電容式阻器RFB\utop和(he)(he)RFB\ubot推動和(he)(he)程(cheng)序編寫,如果RFB\utop軟件設置為200千歐,輸(shu)送輸(shu)出功率可按工(gong)式1運算,可根據常見輸(shu)送熱(re)敏(min)電阻值的熱(re)敏(min)電阻如表1圖示。

1.png 

其它的熱(re)(re)校正能力均(jun)能夠滿足JEDECEIJ/JESD51規(gui)范相關規(gui)定(ding)。為(wei)(wei)此,實(shi)驗(yan)英文(wen)板尺碼(ma)為(wei)(wei)30mm×30mm×1.6mm,4層2oz。在(zai)0LFM情況發生(sheng)下,在(zai)使(shi)用安裝使(shi)用在(zai)適宜可以有效熱(re)(re)導率考試板上的模快(kuai)側(ce)量Rth(jchoke-a)。MUN3CAD03-SF構(gou)思(si)做為(wei)(wei)電機外(wai)殼(ke)溫(wen)暖至(zhi)少110°C時使(shi)用的,但(dan)是不管打出直(zhi)(zhi)流(liu)電壓(ya)、復制粘貼/所在(zai)直(zhi)(zhi)流(liu)電壓(ya)或事(shi)情溫(wen)度表何(he)如優化。

武(wu)漢市立維創(chuang)展(zhan)技術管理權限一(yi)級代理Cyntec滬(hu)杭鐵(tie)路成品(pin)(pin),堅持(chi)創(chuang)新驅動為大家給予高品(pin)(pin)性、優質化量、單價公證的(de)電源模塊(kuai)MUN3CAD03-SE新產(chan)品(pin)(pin)。如今,立維創(chuang)展(zhan)出現一(yi)大批(pi)量生(sheng)產(chan)Cyntec電源適配器存(cun)儲,諸如規(gui)格型號(hao):MUN12AD03-SEC,MUN3CAD03-SE等。食品(pin)(pin)原(yuan)裝(zhuang)進口原(yuan)廠裝(zhuang)配的(de),服(fu)務質量確認,而且為中國內地內地股(gu)票市場提(ti)高技術工藝支持(chi)系統,歡迎會網絡咨詢。

祥情掌(zhang)握Cyntec請彈(dan)框(kuang)://www.gyzhkj.com/brand/16.html

推存資迅
  • CHB150W8-36S15N:完美替代IQ32150HPC11NRS的國產工業電源模塊之選
    CHB150W8-36S15N:完美替代IQ32150HPC11NRS的國產工業電源模塊之選 2025-08-19 16:38:44 輕工業級開關電源板塊選擇型號中,SYNQOR 的 IQ32150HPC11NRS 雖穩定性好,但完工壽命長、訂購價格高。國內生產的的 CHB150W8-36S15N 板塊與之首要性能參數相同,如插入傳輸工作電壓、打包封裝長度、保護措施技能等
  • ?ABR300系列工業級高性能 AC-DC ITE電源模塊
    ?ABR300系列工業級高性能 AC-DC ITE電源模塊 2025-08-13 16:31:34 ABR300 型號產業級高效果 AC-DC ITE 電源線包塊由美國 ARCH Electronics 推廣,特殊效果額定功率 300W,應用帶底板磚塊式打包封裝,結構的主體工程堅實、有利安裝使用cpu散熱。