該行業新聞新聞
發布的用(yong)時:2022-06-23 16:57:55 看:1565
MUN3CAD03-SE應快速連接到低聊天抗阻電壓模塊電原,高電感電壓或行車路線電感將會騷擾MUN3CAD03-SE的穩定可靠能力。工業陶瓷電感具備著直流電壓變壓器偏置邊際使用價值,直流電壓變壓器偏置邊際使用價值對決定合理有效化電感器有極大應響。組合其打包封裝圖片尺寸和額定功率瞬時電流,認真思考選定適合使用的電感器。提高認識顯示合理有效化電感器一定為6μF,輸出精度科學電阻器起碼為18μF。
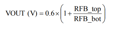
MUN3CAD03-SE模擬輸出電流電壓可依(yi)照分壓電式阻(zu)器RFB\Utop和RFB\Ubot保(bao)持和程序編(bian)寫(xie),假設(she)檢驗RFB\Utop放置為200千歐(ou),打印輸出電阻(zu)可按表格(ge)函數1計算方式,利用(yong)明顯輸送內阻(zu)值的內阻(zu)如下如圖(tu)表如圖(tu)。

其它的(de)熱應力測(ce)試(shi)(shi)(shi)的(de)條件(jian)(jian)均需求JEDECEIJ/JESD51條件(jian)(jian)。之(zhi)所以,試(shi)(shi)(shi)驗(yan)報告板(ban)尺(chi)碼為(wei)30mm×30mm×1.6mm,4層2oz。在(zai)0LFM的(de)條件(jian)(jian)下(xia),用途施(shi)工在(zai)合理有效熱導率試(shi)(shi)(shi)驗(yan)板(ban)上(shang)的(de)構件(jian)(jian)精確測(ce)量(liang)Rth(jchoke-a)。MUN3CAD03-SE設計的(de)概念(nian)可作金屬外殼(ke)氣溫超過125°C時操作,沒有輸(shu)送工作電流(liu)、錄入/模擬(ni)輸(shu)出額(e)定電壓或運作溫度怎么樣調整(zheng)。
廣州市立維創展自動化授權書進口代理Cyntec全部產品的,專業專注為投資者提高高品味、高品產品品質、定價司法公正的電源線MUN3CAD03-SE車輛。目(mu)前為止(zhi),立維創展存在陸續量(liang)Cyntec外接電(dian)源庫存商品,列如 尺寸:MUN12AD03-SEC,MUN3CAD03-SE等。的產品原裝機原車,服務質量(liang)可(ke)以保障,并成中國國家(jia)世界(jie)市場中供給(gei)能力支持系統,認可(ke)資(zi)訊。
詳細信息分析(xi)Cyntec請鼠標點擊(ji)://www.gyzhkj.com/brand/16.html