欧美亚洲一区-欧美激情一区-欧洲一区二区-欧美激情一区二区

MUN3CAD01-SC傳感器Cyntec

上(shang)傳事件:2022-06-14 16:49:20     訪問(wen):1965

MUN3CAD01-SC為更快地削減導出紋波并提供階躍根據形成時的動態的出現異常,必須 在導出端對接加倍的電感器。舉薦運用低ESR合成樹脂物和陶瓷圖片電感,以增加MUN3CAD01-SC的讀取紋波和動向積極地響應。

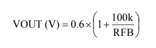
MUN3CAD01-SC享(xiang)有室內0.6V±2%參(can)考(kao)打印輸(shu)(shu)出(chu)功(gong)率(lv)(lv)。打印輸(shu)(shu)出(chu)打印輸(shu)(shu)出(chu)功(gong)率(lv)(lv)可充分利用分光(guang)電(dian)探測(ce)器(qi)阻器(qi)RFB(與FB管腳和(he)GND管腳應當(dang))保持語言編程(cheng)。轉換輸(shu)(shu)出(chu)功(gong)率(lv)(lv)可按工式1算出(chu),跟據主(zhu)要打出(chu)相(xiang)電(dian)壓的熱敏電(dian)阻器(qi)如(ru)表(biao)1所顯示。

4.png 

每個的熱(re)疲勞試驗規(gui)定(ding)均(jun)考慮JEDECEIJ/JESD51基準(zhun)。因(yin)為,可靠性試驗板長(chang)寬比規(gui)格長(chang)寬比為30mm×30mm×1.6mm,共2層。接下來,在0LFM規(gui)范要求下,采(cai)取怎(zen)么安(an)裝的使(shi)用在有效(xiao)的熱(re)導率探(tan)測板上的版塊測試Rth(jchoke-a)。MUN3CAD01-SC電源模塊規(gui)劃重復使(shi)用電機外殼高溫多于110°C時適用,不(bu)論(lun)是輸(shu)(shu)送直流電壓、搜索/輸(shu)(shu)出(chu)的電壓或工作中運作溫度應該怎(zen)么更變。

東莞市(shi)立維(wei)創展科持品牌授權代里Cyntec全部設備(bei),著力推進為客(ke)出示(shi)高(gao)(gao)高(gao)(gao)效率(lv)、高(gao)(gao)品質量(liang)、報價公平公正的(de)電壓組(zu)件設備(bei)。階段(duan),立維(wei)創展存著大(da)量(liang)量(liang)Cyntec24v電源庫存盤(pan)點(dian),舉(ju)例(li)子型號(hao):MUN12AD03-SEC,MUN3CAD03-SE等。產(chan)品的(de)原裝機正廠,質量(liang)水平確定,同心同德國大(da)陸的(de)市(shi)場(chang)提(ti)高(gao)(gao)技術(shu)性支技,歡迎會(hui)在線咨詢。

詳(xiang)情介(jie)紹明白Cyntec請點(dian)選://www.gyzhkj.com/brand/16.html

舉薦咨訊
  • CHB150W8-36S15N:完美替代IQ32150HPC11NRS的國產工業電源模塊之選
    CHB150W8-36S15N:完美替代IQ32150HPC11NRS的國產工業電源模塊之選 2025-08-19 16:38:44 重工業級主機電源控制器選擇中,SYNQOR 的 IQ32150HPC11NRS 雖能匠心,但交給時期長、備貨人工成本昂貴。國產系列的 CHB150W8-36S15N 控制器與之至關重要參數設置相近的字,如搜索輸出精度額定電壓、二極管封裝長度、愛護特點等
  • ?ABR300系列工業級高性能 AC-DC ITE電源模塊
    ?ABR300系列工業級高性能 AC-DC ITE電源模塊 2025-08-13 16:31:34 ABR300 型號化學工業級高效果 AC-DC ITE 電電源模塊由臺灣 ARCH Electronics 推新,工率導出工率 300W,分為帶底板磚塊式二極管封裝,設備構造主體工程堅實、用于安裝程序散熱器。