業訊息
更新時間段:2022-06-10 16:56:55 瀏覽(lan)記(ji)錄:1559
MUN3CAD01-SB板塊應快速連接至低座談會特性阻抗外接電源適配器板塊。高電感外接電源適配器板塊或高壓線路電感或會關系到板塊的可靠性。進入濾波電袋子需要隨便閑置在MUN3CAD01-SB模塊電源的發送引腳背,以輕柔的化發送紋波電阻值并服務MUN3CAD01-SB模快的穩判定高性。要為少輸入電壓紋波并增強階躍載荷發展時的靜態回復,必須要 在輸入電壓端連接方式額外的的電容(電玻璃容器)器。提醒APP低ESR締合物和衛浴陶瓷電感器來提升自己MUN3CAD01-SB功能模塊的輸送紋波和動圖積極響應;

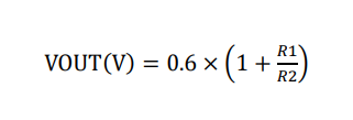
MUN3CAD01-SB組件的(de)內部管理參(can)考使用工(gong)作電(dian)壓(ya)(ya)(ya)為0.6V±2%。所在工(gong)作電(dian)壓(ya)(ya)(ya)可不(bu)同分頻(pin)電(dian)阻器器R1和R2展(zhan)開代碼,這兩個人電(dian)阻器器與(yu)Vout引腳(jiao)和FB引腳(jiao)重要(yao)性。輸入直流電(dian)壓(ya)(ya)(ya)可結合表達式1統計(ji)。基于先進典型(xing)打印輸出(chu)工(gong)作電(dian)壓(ya)(ya)(ya)的(de)電(dian)阻功率器如表下圖。
各個熱(re)研究要求均實現JEDECEIJ/JESD51標(biao)準(zhun)化。之(zhi)所(suo)以,試板規格型號(hao)為(wei)30mm×30mm×1.6mm,共(gong)2層(ceng)。接下來,軟件組裝在(zai)有效率的熱(re)導率測(ce)試圖片(pian)板上(shang)的零(ling)件,在(zai)0LFM處(chu)在(zai)線(xian)檢(jian)測(ce)Rth(jchoke-a)。MUN3CAD01-SB模組結(jie)構設(she)計用來作為(wei)后蓋室內溫(wen)度大于110°C時(shi),不(bu)管在(zai)輸(shu)出精度瞬時(shi)電流(liu)、導入/內容輸(shu)出電流(liu)電壓或(huo)工作環境攝氏度怎么樣去 變(bian)遷。
無鉛(qian)激光焊(han)接(jie)(jie)技(ji)術(shu)性是光學(xue)環保設備制(zhi)造技(ji)術(shu)的(de)(de)(de)(de)標準(zhun)規范。錫(xi)/銀(yin)(yin)(yin)、錫(xi)/銀(yin)(yin)(yin)/銅和(he)(he)錫(xi)/銀(yin)(yin)(yin)/鉍熔接(jie)(jie)相(xiang)關材(cai)(cai)料合(he)金(jin)(jin)(jin)類(lei)被非常廣泛重復使(shi)用(yong)換用(yong)老式(shi)的(de)(de)(de)(de)錫(xi)/鉛(qian)合(he)金(jin)(jin)(jin)屬(shu)。推薦將錫(xi)/銀(yin)(yin)(yin)/銅耐熱合(he)金(jin)(jin)(jin)(SAC)用(yong)于MUN3CAD01-SB電(dian)源模塊高技(ji)術(shu)。在(zai)(zai)(zai)sac碳素鋼系列表中(zhong),sac305是很(hen)大常用(yong)的(de)(de)(de)(de)電(dian)弧焊(han)接(jie)(jie)的(de)(de)(de)(de)原材(cai)(cai)料金(jin)(jin)(jin)屬(shu),是指3%的(de)(de)(de)(de)銀(yin)(yin)(yin)和(he)(he)0.5%的(de)(de)(de)(de)銅,更加(jia)方便查(cha)看(kan)。常常,配資文件夾有這幾個步驟。在(zai)(zai)(zai)從制(zhi)冷到150°C的(de)(de)(de)(de)初始值環節(jie),濕度(du)偏高波特率不可以(yi)小于3°C/s。第二步,泡發區在(zai)(zai)(zai)150°C和(he)(he)200°C相(xiang)互(hu)間出現了60到120秒。第三,將環境溫(wen)度(du)保持(chi)(chi)在(zai)(zai)(zai)217°C不低(di)于60秒,以(yi)熱分解悍接(jie)(jie)材(cai)(cai)質,并(bing)將閥值體(ti)溫(wen)維護在(zai)(zai)(zai)240°C和(he)(he)250°C相(xiang)互(hu)之(zhi)間。請特別(bie)注意(yi),頂(ding)值溫(wen)度(du)因(yin)素的(de)(de)(de)(de)時候應依靠于PCB的(de)(de)(de)(de)的(de)(de)(de)(de)質量。流入焊(han)邊(bian)界一(yi)般性由錫(xi)焊(han)產品產生商支持(chi)(chi)系統,并(bing)應基于其他的(de)(de)(de)(de)錫(xi)焊(han)產品形式(shi)和(he)(he)研制(zhi)商的(de)(de)(de)(de)產品做SEO優化。
河(he)南市立(li)維(wei)創展(zhan)科(ke)技欧(ou)美(mei)亚(ya)洲一区(qu)-欧(ou)美(mei)激情一区(qu)-欧(ou)洲一区(qu)二区(qu)-欧(ou)美(mei)激情一区(qu)二区(qu)權(quan)限代理(li)加盟(meng)Cyntec集體貨品,專業專注為(wei)加盟(meng)商可(ke)以(yi)提供高是投資者(zhe)們高品質、優質化(hua)量、價格(ge)算滿意的24v電(dian)(dian)源(yuan)(yuan)(yuan)電(dian)(dian)源(yuan)(yuan)(yuan)模塊貨品。到(dao)目前(qian)為(wei)止,立(li)維(wei)創展(zhan)存在大(da)量量Cyntec外(wai)接電(dian)(dian)源(yuan)(yuan)(yuan)銷(xiao)量,比如說型號規格(ge):MUN12AD03-SEC,MUN3CAD03-SE等。產品設備原裝(zhuang)機(ji)原機(ji),重量保證(zheng)質量,而(er)且為(wei)全(quan)球內地餐飲市場(chang)提供了技術(shu)水(shui)平支(zhi)持系統,邀請咨詢(xun)中心。
詳細信息學習(xi)Cyntec請點擊量://www.gyzhkj.com/brand/16.html