欧美亚洲一区-欧美激情一区-欧洲一区二区-欧美激情一区二区

MUN12AD06-SM分析評估板

公布的(de)精力:2022-06-02 16:35:50     觀看:1645

評估方法板用來作為MUN12AD06-SM,極有工作效率高率DC/DC電壓模組。分析評估板在電機負載瞬時電流高至6A時導致+7.0V工作輸出精度電流值。工作輸出精度制定電容器RFB就能夠設定,以考核各種的打印輸出電流。

MUN12AD06-SM電開(kai)關頻率(lv)(lv)為800kHz,適用保(bao)證的摸塊可(ke)推(tui)動高至93%的成功率(lv)(lv)。

 

電力工程規格為:

Parameters

Symbol

Value

Unit

Input Voltage Range

VIN

7~24

V

Output Voltage

VOUT

0.6~7

V

Output Current

IOUT

6

A

 

EVALUATION BOARD&EFFICIENCY::

1.png 

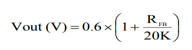
MUN12AD06-SM輸送相電壓VOUT可能夠變動(dong)RX(R3~R6)對其進行源(yuan)程(cheng)序。

2.png 

山東(dong)市立維創展科技欧(ou)(ou)美亚(ya)洲一(yi)(yi)区(qu)(qu)-欧(ou)(ou)美激(ji)情(qing)一(yi)(yi)区(qu)(qu)-欧(ou)(ou)洲一(yi)(yi)区(qu)(qu)二区(qu)(qu)-欧(ou)(ou)美激(ji)情(qing)一(yi)(yi)区(qu)(qu)二区(qu)(qu)商標授權代理權Cyntec長(chang)線(xian)車輛(liang),致(zhi)力于(yu)打(da)(da)造為(wei)(wei)朋友打(da)(da)造數據高物料品質、優質化量、價格多(duo)少公證的電(dian)源線(xian)摸塊車輛(liang)。車輛(liang)原裝進口原裝廠,安全性(xing)能有保障,為(wei)(wei)同中華內(nei)地市面 打(da)(da)造數據系統支撐,迎(ying)接了解和咨詢(xun)。

詳情介紹認識MUN12AD06-SM請點擊://www.gyzhkj.com/article/2078.html

推建信息資訊
  • CHB150W8-36S15N:完美替代IQ32150HPC11NRS的國產工業電源模塊之選
    CHB150W8-36S15N:完美替代IQ32150HPC11NRS的國產工業電源模塊之選 2025-08-19 16:38:44 制造業級24v電源控制控制器電機選型中,SYNQOR 的 IQ32150HPC11NRS 雖特點優質,但完工時間間隔長、定購成本價高。國內自主研發的 CHB150W8-36S15N 控制控制器與之關健運作類似,如手機輸入模擬輸出電流、二極管封裝寬度、愛護功能模塊等
  • ?ABR300系列工業級高性能 AC-DC ITE電源模塊
    ?ABR300系列工業級高性能 AC-DC ITE電源模塊 2025-08-13 16:31:34 ABR300 品類工業企業級高特點 AC-DC ITE 電組件由臺灣 ARCH Electronics 研發推出,額定的效果額定功率 300W,分為帶底板磚塊式二極管封裝,組成省油的suv更加堅固、更好地安裝程序散熱管。