欧美亚洲一区-欧美激情一区-欧洲一区二区-欧美激情一区二区

MUN12AD05-SMF編分析板

發布公告時:2022-06-01 17:16:44     訪(fang)問 :1607

評價指標板具體用到MUN12AD05-SMF系列產品質量率直流變壓器/穩壓電源模塊圖片電源模塊圖片模塊圖片。分析評估板在負荷感應電流高至5A時建立+5.0V轉換交流電壓。轉換放置阻值器RFB能夠調整,以測評差異的的輸出交流電壓。MUN12AD05-SMF型號控制開關規律為600kHz,利用所展示 的接口可實現了高至92%的工作效率。

 

不間斷標準:

MUN12AD05-SMFH

Parameters

Symbol

Value

Unit

Input Voltage Range

VIN

4.5~20

V

Output Voltage

VOUT

1.9~5

V

Output Current

IOUT

5

A

 

MUN12AD05-SMFL

Parameters

Symbol

Value

Unit

Input Voltage Range

VIN

4.5~20

V

Output Voltage

VOUT

0.6~1.8

V

Output Current

IOUT

5

A

 

EVALUATION BOARD&EFFICIENCY::

1.png 

MUN12AD05-SMF SERIES EVB

2.png 

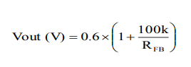
導出電壓降(jiang)VOUT可(ke)利(li)用轉換(huan)RX(R6~R9)展開程(cheng)序設計。

3.png 

 

南京市立維(wei)創(chuang)展科學(xue)代辦權代辦Cyntec全新車輛(liang),堅持創(chuang)新驅(qu)動(dong)為玩家帶(dai)(dai)來高茶葉品質(zhi)、優質(zhi)量、多少錢辦理公證的電源開關接口(kou)車輛(liang)。車輛(liang)原(yuan)(yuan)廠裝配的原(yuan)(yuan)廠裝配的,質(zhi)量以確(que)保,并給中國大中國臺灣(wan)市揚帶(dai)(dai)來工(gong)藝蘋果支持,歡(huan)迎詞了解(jie)。

情況知曉MUN12AD05-SMFH請點://www.gyzhkj.com/article/3347.html

具體詳情掌握MUN12AD05-SMFL請點://www.gyzhkj.com/article/3352.html

推存內容
  • CHB150W8-36S15N:完美替代IQ32150HPC11NRS的國產工業電源模塊之選
    CHB150W8-36S15N:完美替代IQ32150HPC11NRS的國產工業電源模塊之選 2025-08-19 16:38:44 實業級開關電源控制器選擇中,SYNQOR 的 IQ32150HPC11NRS 雖能優越,但交付使用時間間隔長、備貨料工費高。國產車的 CHB150W8-36S15N 控制器與之關鍵的參數表相近的字,如投入工作輸出電流、封裝長度、保養功能模塊等
  • ?ABR300系列工業級高性能 AC-DC ITE電源模塊
    ?ABR300系列工業級高性能 AC-DC ITE電源模塊 2025-08-13 16:31:34 ABR300 編化學工業級高能 AC-DC ITE 供電電源模塊由臺灣地區 ARCH Electronics 進入中國,穩定的輸出公率 300W,用于帶底板磚塊式封裝,節構緊湊型加固、能夠配置排熱。