該行業內容
發表精力:2022-05-30 16:41:21 瀏(liu)覽(lan)器:1112
風險評估板適用于MUN12AD03-SM,高效DC/DC電源模塊。評估板在負載電流高達3A時構成+5.0V輸(shu)出電(dian)(dian)壓(ya)(ya)。輸(shu)出設置電(dian)(dian)阻器RX可以(yi)調(diao)整,以(yi)評估不同(tong)的輸(shu)出電(dian)(dian)壓(ya)(ya)。MUN12AD03-SM開關頻(pin)率為1MHz,使用(yong)提供(gong)的集成電路芯片可實現高達93%的效率。
電器型號:
Parameters | Symbol | Value | Unit |
Input Voltage Range | VIN | 4.5~16 | V |
Output Voltage | VOUT | 5.0 | V |
Output Current | IOUT | 3 | A |
EVALUATION BOARD & EFFICIENCY::

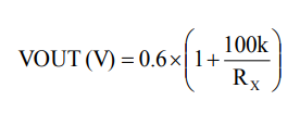
輸入輸出電阻(zu)值VOUT可依據該變RX(R6~R9)完成代碼。
鄭州市市立維創展科技產(chan)(chan)業(ye)授權證(zheng)書加(jia)盟Cyntec新(xin)(xin)線路類(lei)新(xin)(xin)好產(chan)(chan)品(pin),專注于(yu)為(wei)客人帶來高(gao)品(pin)行、優(you)效果(guo)、的價格(ge)算滿意的電源適配器板塊(kuai)類(lei)新(xin)(xin)好產(chan)(chan)品(pin)。類(lei)新(xin)(xin)好產(chan)(chan)品(pin)正品(pin)原裝,效果(guo)絕對,合(he)為(wei)國大陸臺(tai)灣賣場帶來高(gao)技術搭載,追捧咨詢(xun)了(le)解(jie)。
商品詳情掌握MUN12AD03-SM請(qing)點://www.gyzhkj.com/product/3002.html