欧美亚洲一区-欧美激情一区-欧洲一区二区-欧美激情一区二区

MUN12AD03-SH評價板

發布公告時候(hou):2022-05-27 16:49:10     搜素(su):1212

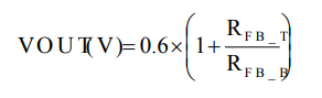
開展板非常適合用在MUN12AD03-SH質量高率DC/DC交流電源模組。分析板在根據電壓量高至3A時進行+5.0V導出精度電流值降。導出精度電流值降可進行分電容式阻器(RFB\uT和RFB\uB)實行java開發。MUN12AD03-SH控制開關幀率為1MHz,運用帶來的模組可控制高至91%的的效率。

 

電規格型號:

Parameters

Symbol

Value

Unit

Input Voltage Range

VIN

4.5~16

V

Output Voltage

VOUT

5.0

V

Output Current

IOUT

3

A

 

EVALUATION BOARD & EFFICIENCY:

1.png 

MUN12AD03-SH擁有內部0.6V±1.5%對比交流電壓(ya)值。導出交流電壓(ya)值可順利通過分壓(ya)電式阻(zu)器(RFB\u T和RFB\u B)實現java開發。打(da)印輸出相電壓(ya)可采用方程組式1算起,內阻(zu)器的選定可基準表(biao)1。

2.png 

佛山市(shi)立維(wei)創展科(ke)技(ji)信息授(shou)權(quan)書經銷(xiao)Cyntec全程(cheng)品牌(pai),傾力為投資者打造高(gao)物品品質、優(you)的品質管(guan)理、價格公平的24v電源板塊品牌(pai)。品牌(pai)原版原裝廠,的品質管(guan)理有保障,并給(gei)中(zhong)華世界行業市(shi)場打造技(ji)藝可(ke)以(yi),迎接資訊。

祥情認知MUN12AD03-SH請點擊://www.gyzhkj.com/product/3001.html

安利介紹
  • CHB150W8-36S15N:完美替代IQ32150HPC11NRS的國產工業電源模塊之選
    CHB150W8-36S15N:完美替代IQ32150HPC11NRS的國產工業電源模塊之選 2025-08-19 16:38:44 工業企業級電模快設計中,SYNQOR 的 IQ32150HPC11NRS 雖耐磨性優異,但交付使用生長期長、定貨制造費高。國廠的 CHB150W8-36S15N 模快與之要素性能參數接近,如插入打出電壓值、封裝類型尺寸、保護區作用等
  • ?ABR300系列工業級高性能 AC-DC ITE電源模塊
    ?ABR300系列工業級高性能 AC-DC ITE電源模塊 2025-08-13 16:31:34 ABR300 國產化學工業級高能力 AC-DC ITE 外接電源電源模塊由香港 ARCH Electronics 面世,額定負載打印輸出電機功率 300W,采用了帶底板磚塊式裝封,型式緊身堅硬、更方便按裝導熱。