欧美亚洲一区-欧美激情一区-欧洲一区二区-欧美激情一区二区

?MUN12AD01-SH監測板

推送時:2022-05-24 16:49:47     搜索:1097

Cyntec鑒定板重點應用于MUN12AD01-SH科學規范率直流電/電流電源控制器控制器。分析評估板在4.5V和17V放入交流電壓范圍內內的電機負載電壓電流多達1A時演變成+3.3V傷害電壓電流。是可以調試傷害裝置阻值器R5至R10,以評估方法其他的輸出輸出功率輸出功率。MUN12AD01-SH觸點開關幾率為1.0MHz,使用所可以提供的元器可進行高達獨角獸94%的有效率。

 

電氣公司產品規格:

Parameters

Symbol

Value

Unit

Input Voltage Range

VIN

4.5~17

V

EN Voltage Range

EN

1.5~17

V

Output Voltage

VOUT

3.3

V

Output Current

IOUT

1

A

 

EFFICIENCY:

1.png 

 

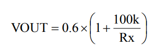
MUN12AD01-SH的內容(rong)輸出電阻設置為3.3V。

轉換電壓(ya)電流VOUT可(ke)按照變Rx來進(jin)行代碼(ma)編程。用下類表達式確定(ding)新值:

2.png 

佛山市立維創展科(ke)枝許可(ke)經銷(xiao)商Cyntec全部設備(bei),全力為(wei)(wei)雇(gu)主能(neng)供應高茶葉品質、優質量、價公(gong)開的電源(yuan)適(shi)配器控制器設備(bei)。設備(bei)原裝進(jin)口(kou)trw,質量確保(bao),共為(wei)(wei)中大陸市揚能(neng)供應科(ke)技(ji)使用,歡迎辭服務咨(zi)詢。

詳細信息理解MUN12AD01-SH請點(dian)擊(ji)://www.gyzhkj.com/product/2997.html

引薦知識
  • CHB150W8-36S15N:完美替代IQ32150HPC11NRS的國產工業電源模塊之選
    CHB150W8-36S15N:完美替代IQ32150HPC11NRS的國產工業電源模塊之選 2025-08-19 16:38:44 工業化級開關電源性能選擇中,SYNQOR 的 IQ32150HPC11NRS 雖性能指標優良,但竣工期長、定貨直接費用高。國產的 CHB150W8-36S15N 性能與之關鍵因素參數設置類似,如導入輸出線電壓、芯片封裝尺寸圖、保護措施性能等
  • ?ABR300系列工業級高性能 AC-DC ITE電源模塊
    ?ABR300系列工業級高性能 AC-DC ITE電源模塊 2025-08-13 16:31:34 ABR300 品類化工業級高功能 AC-DC ITE 供電信息模塊由中國臺灣 ARCH Electronics 投放市場,額定輸出阻抗打印輸出輸出阻抗 300W,采用了帶底板磚塊式封裝類型,形式緊促穩固、更加方便安轉風扇散熱。