欧美亚洲一区-欧美激情一区-欧洲一区二区-欧美激情一区二区

MUN3CAD01-SC測評板

公(gong)布時長:2022-05-23 16:59:06     觀看(kan):1134

Cyntec測試板應用于MUN3CAD01-SC高效率的DC/DC主機電源模快。考核板在2.7V和5.5V輸進電壓值區內的電動機扭矩工作電流已經超過1A時形成了+1.8V輸出工作電壓。MUN3CAD01-SC不錯自動調節輸出設置內阻器R3至R8,以評價指標各種的輸出的直流電壓。MUN3CAD01-SC轉換開關頻段為3.0MHz,選擇所提拱的零件可保持大于93%的效果。

 

電尺寸規格:

Parameters

Symbol

Value

Unit

Input Voltage Range

VIN

2.7~5.5

V

EN Voltage Range

EN

1.5~5.5

V

Output Voltage

VOUT

1.8

V

Output Current

IOUT

1

A

 

EFFICIENCY:

1.png 

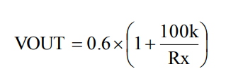
MUN3CAD01-SC評價指標板的輸(shu)入輸(shu)出電壓(ya)降預(yu)置(zhi)為1.8V。

輸出(chu)的電阻VOUT可(ke)按照變化Rx實現程(cheng)序設計。用到下例公(gong)試換(huan)算新(xin)值:

2.png 

武(wu)漢市立維創展科技(ji)公司授權使(shi)用代理權Cyntec滬杭鐵路(lu)食(shi)(shi)品(pin)(pin),專注(zhu)于為顧客提拱高(gao)的產品(pin)(pin)品(pin)(pin)質、高(gao)品(pin)(pin)服務(wu)重(zhong)量、費用房屋公證的開(kai)關電源控制模塊(kuai)食(shi)(shi)品(pin)(pin)。食(shi)(shi)品(pin)(pin)原裝機原車,服務(wu)重(zhong)量能保證,為同在我國(guo)中(zhong)國(guo)市面 提拱高(gao)技(ji)術不支持,歡迎語詳詢(xun)。

詳情介紹了解一下MUN3CAD01-SC請(qing)點擊://www.gyzhkj.com/product/2995.html


安利介紹
  • CHB150W8-36S15N:完美替代IQ32150HPC11NRS的國產工業電源模塊之選
    CHB150W8-36S15N:完美替代IQ32150HPC11NRS的國產工業電源模塊之選 2025-08-19 16:38:44 化工級外接電源內容輸出方案挑選中,SYNQOR 的 IQ32150HPC11NRS 雖功效好,但交貨周期時間長、進貨的成本非常高。國內生產的的 CHB150W8-36S15N 內容輸出方案與之重點因素相進,如錄入內容輸出相電壓、打包封裝長寬比、保護區功能表等
  • ?ABR300系列工業級高性能 AC-DC ITE電源模塊
    ?ABR300系列工業級高性能 AC-DC ITE電源模塊 2025-08-13 16:31:34 ABR300 型號重工業級高耐腐蝕性 AC-DC ITE 電源線模塊電源由美國 ARCH Electronics 發布,額定值傷害熱效率 300W,適用帶底板磚塊式封口,空間結構密集堅硬、用于布置排熱。