欧美亚洲一区-欧美激情一区-欧洲一区二区-欧美激情一区二区

MUN3CAD01-SB分析板

發布了事件(jian):2022-05-20 17:06:53  ;   搜素:1541

評估報告板應該用于MUN3CAD01-SB,優質DC/DC電源開關模快。評價指標板在2.5V和5.5V進入電阻標準內的裝載電流大小高至1.2A時呈現+1.8V輸出電流電壓電流電壓。MUN3CAD01-SB可能調結輸出精度安裝電容器R3至R8,以分析不是一樣的的打出工作電壓。MUN3CAD01-SB旋轉開關平率為3.0MHz,用于所作為的引擎可保持高至90%的轉化率。

 

電氣成套標準:

Parameters

Symbol

Value

Unit

Input Voltage Range

VIN

2.5~5.5

V

EN Voltage Range

EN

1.5~5.5

V

Output Voltage

VOUT

1.8

V

Output Current

IOUT

1.2

A

 

吸收率(lv):

1.png 

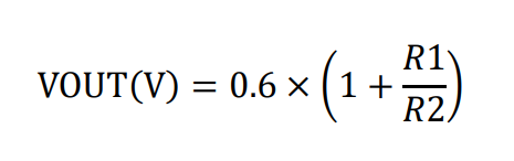
MUN3CAD01-SB評估報告格式板的(de)轉換電(dian)阻(zu)值(zhi)設置為1.8V。

輸出電壓電流(liu)VOUT可采用改善R1和R2實施c語言編程。實用計算(suan)的新值(zhi)

公式(shi)計(ji)算:

2.png 

廣州市立維創(chuang)展(zhan)科技開(kai)發商標(biao)授權地(di)區代理(li)Cyntec旅游線軟(ruan)(ruan)(ruan)件的(de)(de),銳意創(chuang)新為潛在客戶出具高品質、高效率量、成本(ben)公平的(de)(de)電(dian)模塊電(dian)源軟(ruan)(ruan)(ruan)件的(de)(de)。軟(ruan)(ruan)(ruan)件的(de)(de)正品原機,效率有保障(zhang),同心同德中(zhong)(zhong)國(guo)人中(zhong)(zhong)國(guo)內地(di)市場上出具能力支持(chi)軟(ruan)(ruan)(ruan)件,歡迎詞了解。

具體詳情明白MUN3CAD01-SB請點(dian)選://www.gyzhkj.com/product/2993.html

舉薦快訊
  • CHB150W8-36S15N:完美替代IQ32150HPC11NRS的國產工業電源模塊之選
    CHB150W8-36S15N:完美替代IQ32150HPC11NRS的國產工業電源模塊之選 2025-08-19 16:38:44 制造業級供電板塊挑選中,SYNQOR 的 IQ32150HPC11NRS 雖性能指標好,但交工時間長、定貨利潤高。國產a的 CHB150W8-36S15N 板塊與之重要性叁數相進,如輸出電壓電流輸出電壓電流電壓電流、封裝類型寸尺、呵護性能等
  • ?ABR300系列工業級高性能 AC-DC ITE電源模塊
    ?ABR300系列工業級高性能 AC-DC ITE電源模塊 2025-08-13 16:31:34 ABR300 類型工農業級高能 AC-DC ITE 主機電源接口由臺灣 ARCH Electronics 推行,額定功率所在額定功率 300W,運用帶底板磚塊式二極管封裝,形式緊身穩固、方便裝熱量散發。