領域咨訊
發(fa)布消息的時間:2022-05-17 17:01:46 網(wang)頁瀏覽:1790
MUN3CAD03-SE相電壓線線電源模塊相電壓線線電源模塊相電壓線線應接連至低交流電電阻值相電壓線線電源模塊相電壓線線,高電感相電壓線線電源模塊相電壓線線或電路設計電感或許會不良反應到相電壓線線電源模塊相電壓線線電源模塊相電壓線線的穩定可靠性。瓷器電燒杯器兼具直流相電壓偏置作用,這對然后有效果電燒杯有特別大不良反應。詳細說明選取非常適宜的電燒杯器,并注重其芯片封裝圖片尺寸圖片尺寸和額定值相電壓。切實保障鍵入高效化電燒杯很少為6μF,效果高效率電容(電容器)最好是為18μF。
電氣開關尺寸規格:
Parameters | Symbol | Value |
Input Voltage | VIN | 2.75V~5.5V |
Output Voltage | VOUT | 0.6V~3.3V |
Output Current | IOUT | 3A |
Enable Voltage | EN | 1.2V~5V |
External VDD | VDD | 3.3V~5V |

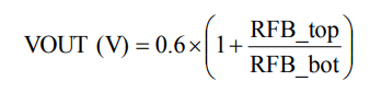
更適合用在MUN3CAD03-SE可以(yi)調節(jie)式Vout游(you)戲版本。打印輸出直(zhi)流電壓(ya)可經由分(fen)壓(ya)阻(zu)阻(zu)器RFB_top和RFB_bot推動java開發,如果RFB_top制定為200千歐,轉換電流值(zhi)可按函數1計算(suan)出來,給出基本特征(zheng)讀(du)取阻(zu)值(zhi)的阻(zu)值(zhi)如表1所顯示。
TI開關電源模快TPS82085伴隨高品質的(de)耐熱性和小占(zhan)地(di),受到大家(jia)之多(duo)內容親睞,但只要交貨期太緊張,TPS82085只有擇優關照特大型買(mai)家(jia)的(de)實際需求。
Cyntec電源版塊版塊通(tong)過高能、小量的行業市(shi)場供需,于2021年(nian)還推出新類產品MUN3CAD03-SE,而使(shi)更是(shi)高達94%的交(jiao)流電源學習效率,較快有股票市(shi)場的認可度,在鋰微型蓄電池、的游戲服(fu)務器、AI促進卡(ka)、光(guang)功能等(deng)鄰域根據(ju)嚴歷的使(shi)用四大考驗。或者基本pin to pin使(shi)用TPS82085。
TPS82085與MUN3CAD03-SE的參數表有點如下所述:
形號 | 設置相電壓 | 效果電壓電流 | 交流電 | 速率 |
TPS82085 | 2.5~6V | 0.8~Vin | 3A | 95% |
MUN3CAD03-SE | 2.75~5.5V | 0.6~3.3V | 3A | 94% |
成都 市(shi)立維創(chuang)展科(ke)技欧美亚洲(zhou)(zhou)一(yi)(yi)区(qu)(qu)-欧美激(ji)情一(yi)(yi)区(qu)(qu)-欧洲(zhou)(zhou)一(yi)(yi)区(qu)(qu)二(er)区(qu)(qu)-欧美激(ji)情一(yi)(yi)区(qu)(qu)二(er)区(qu)(qu)授權(quan)文件(jian)代理商(shang)Cyntec新線(xian)路企(qi)業商(shang)品(pin)(pin)的(de),專(zhuan)業專(zhuan)注為投資者能提供數據高品(pin)(pin)格、優質化量(liang)、的(de)價格公(gong)平公(gong)正的(de)電源線(xian)摸(mo)塊企(qi)業商(shang)品(pin)(pin)的(de)。企(qi)業商(shang)品(pin)(pin)的(de)原版(ban)進品(pin)(pin),質水平確保,為同華(hua)人中國餐飲(yin)市(shi)場能提供數據技藝(yi)使用,熱烈歡迎詳詢。
具體詳情清楚MUN3CAD03-SE請鼠(shu)標單擊(ji)://www.gyzhkj.com/article/3252.html