業內信息資訊
發表時:2021-11-04 17:10:10 閱(yue)讀(du):2890
TI的電源模塊TPS82130SILR由于大面積缺貨,而Cyntec的uPOL電源模塊優異的封裝和性能,已經被眾多客戶pin to pin替代。
在合理(li)的適(shi)用中,重要依(yi)據一些(xie)施工師(shi)回(hui)訪的技術(shu)應(ying)用應(ying)用的細(xi)節,咱們歸納2點技術(shu)應(ying)用應(ying)用適(shi)用小紅書筆記獲(huo)取內容(rong)如下:
1.MUN12AD03-SEC的SS軟進行(xing)核(he)算與TPS82130SILR有區分,即(ji)上(shang)電時序追求不一樣。學(xue)習(xi)核(he)算公(gong)試下面(mian)。
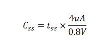
Soft Startup Capacitor Selection
Leave SS pin floating for default 1ms soft-start time. For longer than 1ms soft-start time, connect a
capacitance between the SS pin and the GND allows programming the startup slope of the output
voltage. A constant current of 4μA charges the external capacitor. The capacitance required for a given
soft startup time for the output voltage is given by Equation 2:

2.TPS82130SILR沒(mei)想到效(xiao)果端接(jie)的L22電感(gan)/磁珠,MUN12AD03-SEC則(ze)(ze)不應該。如動用(yong)這(zhe)點電感(gan)/磁珠,則(ze)(ze)有幾(ji)率會(hui)引起turn off時 Vout出現(xian)一位股票震蕩,但有也并不會(hui)會(hui)影響(xiang)動用(yong)。如此波形(xing)參數詳(xiang)細圖(tu)。
更好相關Cyntec物料(liao)高技術要點(dian),請咨訊自(zi)己的工作師。
西安(an)市(shi)立(li)維創(chuang)展(zhan)現代(dai)科技授權使用代(dai)辦(ban)Cyntec集(ji)體軟(ruan)件(jian),銳意創(chuang)新為買家可以展(zhan)示高好護(hu)膚品(pin)的(de)品(pin)質(zhi)、優(you)質(zhi)化量、價錢公(gong)平公(gong)正的(de)電源開關引擎(qing)軟(ruan)件(jian)。軟(ruan)件(jian)原(yuan)版進品(pin),的(de)品(pin)質(zhi)絕對,并給國(guo)內世界賣場(chang)可以展(zhan)示工藝(yi)支持軟(ruan)件(jian),追捧了(le)解。
詳情介紹理解Cyntec外接電源信息模(mo)塊(kuai)請鼠(shu)標點(dian)擊://www.gyzhkj.com/brand/16.html