餐飲行業新聞咨詢
上架日子:2018-12-06 11:02:13 查詢:7953
|
低調 0.3“高度 高達4瓦
無散熱片或 選項可用
|
典型特征:
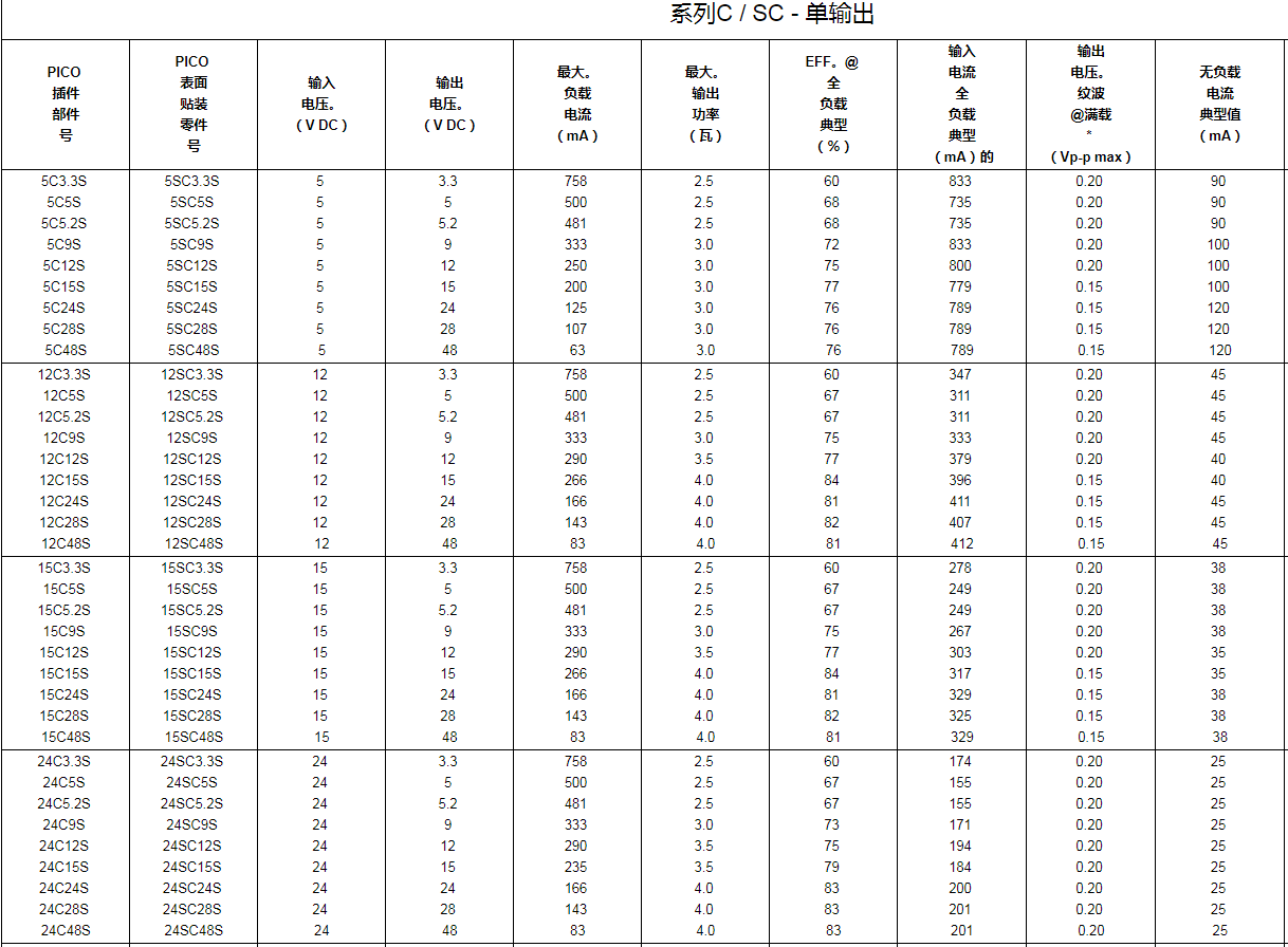
測式狀態:就(jiu)算另(ling)有講解,如果區(qu)域(yu)室內溫度為25oC,輸(shu)進(jin)電壓值為載荷系數值。 配電線路游(you)戲規(gui)則:導入進行與導入相比較應。 手機輸入電壓值空間: 5V產品型號:4至6.5V DC 12V材質:9至15V DC 15V主要參數:12至18V DC 24V型號:17至28V DC 28V產品型號:21至31V DC 48V應用:25至50V DC 過載時的輸出電阻值電阻值容差: 5V參數±0.25V 9V機型±0.3V 12V和15V尺寸±0.4V 24V和28V型號查詢±0.5V 48V機型±0.7V 改(gai)變器(qi)頻次: 20至40 KHz 效果濕(shi)度彈性系(xi)數(shu): 0.02%/oC 崗(gang)位平均溫(wen)度: -25oC至+70oC區域高溫(wen)。不須得cpu風冷散熱器。 存貯攝(she)氏(shi)度: -55oC至+125oC 底(di)部隔離(li): 100兆歐(ou)分(fen)鐘左(zuo)右。@ 500V DC 出現(xian)短路保護英文: 到(dao)時(shi)
|
型號以及參數

基于頁數有限責任,更高的超不同規格的中小型高壓電防護隔離式DC-DC轉為器規格規格型號及其系統使用,請點一下右面客戶服務連接公司!!!
多想關的DC-DC改換器物料,請點擊量:
低壓薄型DC-DC電源模塊微型封裝單輸出100 至500 V
2.5W小型封裝高可靠性隔離式DC-DC電源模塊3.3 - 48 V